Студопедия

Главная страница Случайная страница

КАТЕГОРИИ:

АвтомобилиАстрономияБиологияГеографияДом и садДругие языкиДругоеИнформатикаИсторияКультураЛитератураЛогикаМатематикаМедицинаМеталлургияМеханикаОбразованиеОхрана трудаПедагогикаПолитикаПравоПсихологияРелигияРиторикаСоциологияСпортСтроительствоТехнологияТуризмФизикаФилософияФинансыХимияЧерчениеЭкологияЭкономикаЭлектроника






Желаем успеха! Инструкция по выполнению работы

Отчество

Инструкция по выполнению работы

В работе по математике 7 заданий.

При выполнении заданий можно использовать черновик.

Записи в черновике проверяться и оцениваться не будут.

Задания предполагают запись ответа в виде целого числа или конечной десятичной дроби в специально отведенном для этого поле. Единицы измерений писать не нужно. Если вы хотите изменить ответ, записанный в работе, то зачеркните его и запишите рядом новый.

При выполнении работы нельзя пользоваться учебниками, рабочими тетрадями, справочниками, калькулятором.

На выполнение работы по математике отводится 45 минут.

Обязательно проверьте в конце работы, все ли ответы внесены на лист с заданиями!

Желаем успеха!

 

 

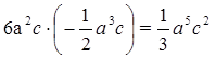
1. Упростите выражение: и найдите его значение при
  Ответ:

 

2. Вычислите:
  Ответ:

 

3. Решите уравнение:
  Ответ:

 

4. Решите систему уравнений:
  Ответ:

 

5. Сумма трёх чисел равна 90. Известно, что первое число на 10 меньше второго, а второе в 2 раза больше третьего. Найдите эти числа.
  Ответ:

 

6. Найдите верные равенства:
  1) 3)
  2) 4)
  Ответ:

 

7. Найдите число, квадрат которого при увеличении этого числа на 3 увеличивается на 39.
  Ответ:

 

           

 

<== предыдущая лекция | следующая лекция ==>
Желаем успеха! | 
Поделиться с друзьями:

mylektsii.su - Мои Лекции - 2015-2026 год. (1.931 сек.)Все материалы представленные на сайте исключительно с целью ознакомления читателями и не преследуют коммерческих целей или нарушение авторских прав Пожаловаться на материал