Студопедия

Главная страница Случайная страница

КАТЕГОРИИ:

АвтомобилиАстрономияБиологияГеографияДом и садДругие языкиДругоеИнформатикаИсторияКультураЛитератураЛогикаМатематикаМедицинаМеталлургияМеханикаОбразованиеОхрана трудаПедагогикаПолитикаПравоПсихологияРелигияРиторикаСоциологияСпортСтроительствоТехнологияТуризмФизикаФилософияФинансыХимияЧерчениеЭкологияЭкономикаЭлектроника






Прикладные задачи определения характеристик случайного процесса. Методы решения.






Анализ единственности решения задачи оценивания параметров случайного процесса по данным наблюдений начнем с примера.

Пример 9.4. Рассмотрим скалярный случайный процесс

где — стационарный гауссовский случайный процесс с нулевым математическим ожиданием и ковариационной функцией а — известный параметр, а — неизвестные положительные параметры.

В данном случае вектор неизвестных параметров образован четырьмя компонентами При имеем

а случайный процесс , представляет собой скалярный гауссовский процесс.

Предположим, что для оценивания вектора мы располагаем данными наблюдений, представленными множеством где т.е. наблюдения проводились лишь в моменты времени из Т.

Поскольку изучаемый случайный процесс является гауссовским, то его одномерные функции плотности вероятностей полностью определены его математическим ожиданием и дисперсией, которые по условиям испытаний можно оценить с использованием стандартных формул (9.6), (9.7) с учетом того, что Таким образом,

Оценку параметра можно строить на двух очевидных равенствах:

В качестве реализации такой оценки используем функцию [XVII]

Для построения оценок оставшихся неизвестных параметров мы не располагаем никакими данными, кроме оценок математического ожидания и используя которые можно записать систему нелинейных алгебраических уравнений относительно оценок неизвестных параметров соответственно:

Эта система состоит из двух уравнений и содержит три неизвестных параметра, т.е. имеет бесчисленное множество решений.

Таким образом, по данным наблюдений, представленным множеством задача оценивания неизвестных параметров изучаемого случайного процесса решается неоднозначно не зависимо от того, сколько произведено измерений в моменты времени

Если а система (9.29) имеет решение, удовлетворяющее условиям положительности своих компонент, то это решение единственно.

Заметим, что рассматриваемый скалярный случайный процесс при становится стационарным случайным процессом с математическим ожиданием и дисперсией Пусть теперь — момент времени, начиная с которого исходный случайный процесс можно считать стационарным. Если принять за начало наблюдений, то параметры и оценить невозможно, как бы мы ни выбирали моменты измерений и сколько бы измерений ни проводилось в эти моменты времени, поскольку стационарные изменения состояния не зависят от значений параметров

Для того чтобы сформулировать условие единственности реления задачи оценивания неизвестных параметров случайного процесса по данным наблюдений, напомним, что любой случайный процесс в общем случае не является полностью определенным и при решении различных задач как теоретического, ток и прикладного характера исследователь вынужден ограничиваться использованием конечномерных законов распределений. Совокупность конечномерных законов распределений является более или менее полной характеристикой случайного процесса. При этом, если -мерный случайный процесс, зависящий от -мерного вектора неизвестных параметров , то -мерная функция плотности вероятностей

содержит исчерпывающую информацию об исходном случайном процессе на множестве

Определение 9.1. Пусть -мерный случайный процесс, зависящий от -мерного вектора неизвестных параметров Говорят, что -мерная функция плотности вероятностей определяет на исходный случайный процесс единственным образом, если равенство

верно тогда и только тогда, когда

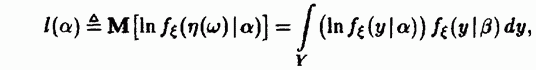
Интуитивно понятно, что если по данным наблюдений удается определить такую -мерную функцию плотности вероятностей, которая на некотором множестве задает изучаемый случайный процесс единственным образом, то существует и единственное решение задачи оценивания вектора его неизвестных параметров. Для того чтобы практически реализовать эту идею, будем считать, что — истинное значение вектора неизвестных параметров случайного процесса , и введем скалярную функцию векторного аргумента

где

блочный случайный вектор размерности Нас интересует экстремум этой функции.

В связи с этим напомним, что функцию называют выпуклой («низ) на множестве X, если для любых и для любого имеет место неравенство

Известно [V], что для выпуклой (дифференцируемой) функции справедливо неравенство

Пусть — случайный вектор . В этом случае

Определив математические ожидания правой и левой частей этого неравенства, приходим к неравенству Иенсена для выпуклой функции:

Теперь можно сформулировать и доказать теорему единственности решения задачи оценивания неизвестных параметров случайного процесса по данным наблюдений.

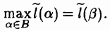
Теорема 9.1. Пусть -мерная функция плотности вероятностей случайного процесса , зависящего от вектора неизвестных параметров , определяет его на множестве единственным образом. Тогда задача оценивания вектора неизвестных параметров этого случайного процесса по данным наблюдений имеет единственное решение определяемое условием

где функция определена равенством (9.30).

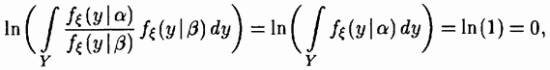
Поскольку — выпуклая функция, то по неравенству Иенсена имеем

или, что то же самое,

где так как для любого

то последнее неравенство принимает вид

Это неравенство превращается в равенство тогда и только тогда, когда

Поэтому из неравенства (9.31) и условия теоремы получаем, что для любых

или, что то же самое,

Таким образом, функция имеет на В единственный максимум в точке что и требовалось доказать.

Доказанную теорему можно использовать для решения практических задач даже в тех случаях, когда вид -мерной функции плотности вероятностей изучаемого случайного процесса неизвестен, а на множестве определены лишь его математическое ожидание и ковариационная матрица как функции неизвестных параметров.

Рассмотрим этот случай, поскольку он чаще других встречается в приложениях. Будем считать, что при содержат все интересующие нас параметры. Это означает, что вся интересующая нас информация об изучаемом случайном процессе представлена в совокупности его одномерных функций плотности вероятностей Отсюда следует, что для решения задачи оценивания его неизвестных параметров вполне подходит случайная выборка, соответствующая множеству функция плотности вероятностей которой определена равенством (9.18):

Для того чтобы выяснить достаточность зтих данных для однозначного оценивания неизвестных параметров, рассмотрим следующую функцию плотности вероятностей

и введем множества

При выполнении условий теоремы 9.1 при любых имеем

т.е. с учетом определения функции

или

Однако по условию задачи вид функции плотности вероятностей неизвестен. Тем не менее, задачу можно решить, если в качестве использовать плотность нормального закона распределения и наложить на функции дополнительные ограничения.

Определение 9.2. Будем говорить, что функции разделяют точки множества В на множестве , если для любых существует хотя бы одно значение такое, что

Теорема 9.2. Пусть математическое ожидание и ковариационная матрица -мерного случайного процесса зависящего от -мерного вектора неизвестных параметров , разделяют точки множества В на множестве . Тогда задача оценивания неизвестного вектора параметров имеет единственное решение, определяемое условием

где

— плотность нормального распределения:

— неизвестная истинная одномерная функция плотности вероятностей случайного процесса.

Доказательство теоремы 9.2 опирается на следующее утверждение.

Лемма 9.1. Пусть -мерный случайный вектор с функцией плотности вероятностей математическим ожиданием и ковариационной матрицей — плотность распределения вероятностей -мерного случайного вектора, распределенного по нормальному закону с математическим ожиданием то и ковариационной матрицей Е. Тогда для любых то и таких, что то , верно неравенство

Докажем, что

Действительно,

где

Поскольку тогда и только тогда, когда Таким образом, функция достигает минимума при . А так как, согласно свойствам следа для произведения согласованных матриц, верно представление

то очевидны равенства

При этом тогда и только тогда, когда Таким образом,

т.е. при любых то имеем

Теперь вернемся к доказательству теоремы 9.2.

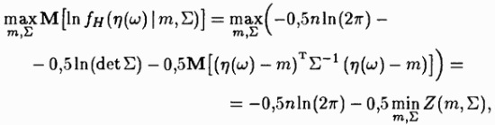
Функция

при достигает максимума, так как при

и в соответствии с леммой 9.1 каждое слагаемое в правой части (9.32) достигает максимума, поскольку — функция плотности вероятностей нормального закона распределения.

Этот максимум является единственным, т.е. для любого a G В, такого, что имеем

так как функции определены на множестве единственным образом и при а всегда найдется хотя бы один момент времени такой, что

а значит, для соответствующих ему слагаемых в суммах неравенства (9.33) будем иметь

Поэтому для любого , такого, что а имеем

а следовательно,

Итак, в ряде случаев, нередко встречающихся в приложениях, единственность решения задачи оценивания неизвестных параметров изучаемого случайного процесса по данным наблюдений можно проверить непосредственно на основании полученных теоретических результатов.

Из теоремы 9.2 вытекает весьма важное следствие, состоящее в том, что в тех случаях, когда конечномерные функции плотности вероятностей исходного случайного процесса неизвестны, для решения задачи оценивания можно использовать функции плотности вероятностей нормального закона распределения.

Вопрос о том, как повлияет замена неизвестного конечномерного закона распределения изучаемого случайного процесса соответствующим нормальным законом распределения на качество оценок неизвестных параметров, пока оставим открытым и вернемся к нему при рассмотрении квазиправдоподобных оценок.

Прежде чем перейти к анализу методов оценивания неизвестных параметров изучаемых случайных процессов, отметим, что пример 9.4 наглядно иллюстрирует идею метода моментов [XVII]. Эта идея состоит в том, что для нахождения оценок неизвестных параметров исходного случайного процесса составляют систему уравнений путем приравнивания теоретических моментов, являющихся функциями неизвестных параметров, к соответствующим статистическим моментам, которые являются функциями данных наблюдений. Метод моментов далее мы рассматривать не будем.


Поделиться с друзьями:

mylektsii.su - Мои Лекции - 2015-2026 год. (0.625 сек.)Все материалы представленные на сайте исключительно с целью ознакомления читателями и не преследуют коммерческих целей или нарушение авторских прав Пожаловаться на материал