Студопедия

Главная страница Случайная страница

КАТЕГОРИИ:

АвтомобилиАстрономияБиологияГеографияДом и садДругие языкиДругоеИнформатикаИсторияКультураЛитератураЛогикаМатематикаМедицинаМеталлургияМеханикаОбразованиеОхрана трудаПедагогикаПолитикаПравоПсихологияРелигияРиторикаСоциологияСпортСтроительствоТехнологияТуризмФизикаФилософияФинансыХимияЧерчениеЭкологияЭкономикаЭлектроника






Принцип работы тормозной системы






Принцип работы тормозной системы рассмотрен на примере гидравлической рабочей системы.

При нажатии на педаль тормоза нагрузка передается к усилителю, который создает дополнительное усилие на главном тормозном цилиндре. Поршень главного тормозного цилиндра нагнетает жидкость через трубопроводы к колесным цилиндрам. При этом увеличивается давление жидкости в тормозном приводе. Поршни колесных цилиндров перемещают тормозные колодки к дискам (барабанам).

При дальнейшем нажатии на педаль увеличивается давление жидкости и происходит срабатывание тормозных механизмов, которое приводит к замедлению вращения колес и поялению тормозных сил в точке контакта шин с дорогой. Чем больше приложена сила к тормозной педали, тем быстрее и эффективнее осуществляется торможение колес. Давление жидкости при торможении может достигать 10-15 МПа.

При окончании торможения (отпускании тормозной педали), педаль под воздействием возвратной пружины перемещается в исходное положение. В исходное положение перемещается поршень главного тормозного цилиндра. Пружинные элементы отводят колодки от дисков (барабанов). Тормозная жидкость из колесных цилиндров по трубопроводам вытесняется в главный тормозной цилиндр. Давление в системе падает.

Эффективность тормозной системы значительно повышается за счет применения систем активной безопасности автомобиля.

3)Вопрос: В чем состоит принцип действия гасителей крутильных колебаний?

Ответ: Крутильные колебания коленчатого вала возникают при его вращении под влиянием приложенных к кривошипам периодически действующих сил. Если период действия этих сил совпадает с периодом свободных колебаний коленчатого вала или кратен ему, то возникает явление резонанса: амплитуда крутильных колебаний возрастает, и вал вследствие увеличения напряжения может разрушиться. Двигатели конструируют так, чтобы резонанс не наступал при частоте вращения, соответствующей эксплуатационным режимам работы, однако крутильные колебания существуют всегда. Гаситель крутильных колебаний, устанавливаемый в некоторых конструкциях сцеплений, служит для предохранения трансмиссии от крутильных колебаний, которые могут возникнуть в ней вследствие неравномерности вращения коленчатого вала двигателя, вызываемой его крутильными колебаниями.

Существуют два типа гасителей крутильных колебаний:

· фрикционные

· гидравлические

Наиболее широкое распространение получили фрикционные гасители. К ведомому диску 1 с его фрикционными накладками 10 и балансировочной пластиной 11 сцепления присоединен заклепками 7 диск 9 гасителя, который установлен между двумя дисками 5, прикрепленными к фланцу ступицы 6 ведомого диска. В дисках гасителя и фланца ступицы имеются окна (например, их может быть восемь), в которых при сборке установлены пружины 2 гасителя вместе с опорными пластинами 3. К фланцу ступицы прикреплены также маслоотражательные кольца 4, благодаря чему исключается возможность выпадания пружин из дисков. Между дисками фланца ступицы и диском гасителя расположены фрикционные элементы 8 (в виде кольца или пластин). Диск гасителя, не связанный жестко со ступицей, при возникновении крутильных колебаний получает угловое перемещение относительно дисков фланца ступицы, которое сопровождается трением между указанными деталями и фрикционными элементами. Этим и достигается поглощение энергии крутильных колебаний и как следствие гашение колебаний ведущего вала коробки передач и связанных с ним деталей трансмиссии. Деформация пружин гасителя при взаимном перемещении дисков гасителя и фланца ступицы уменьшает резкость включения сцепления. Наличие гасителя крутильных колебаний способствует уменьшению шума и износа зубьев шестерен коробки передач.

21 билет
1).Особенности обслуживания сцеплений, имеющих гидравлический привод

На большинстве легковых автомобилей с механической КПП устанавливается два вида привода сцепления; механический (тросовый); гидравлический. Механический привод устанавливается преимущественно на легковых автомобилях, оснащенных силовыми агрегатами малой мощности. Данный вид привода отличается предельно простым устройством и дешев при производстве. Кроме того, механический привод весьма прост в обслуживании и ремонте, так как содержит минимальное количество конструктивных элементов.

Устройство механического привода

Как уже было сказано, механический привод имеет предельно простое устройство и состоит из следующих конструктивных элементов: педаль привода сцепления; трос; устройство регулирования; рычажный привод; выжимной подшипник. Основным элементом механического привода является гибкий трос, заключенный в оболочку. Педаль привода расположена в салоне автомобиля и посредством гибкого троса связана с рычажным устройством (вилка сцепления). В соединении троса и вилки сцепления имеется регулировочное устройство, предназначенное для выставления свободного хода педали. Работа механического привода предельно проста: водитель воздействуя на педаль, приводит в движение рычажное устройство, которое в свою очередь перемещает по направляющей выжимной подшипник, тем самым выключая сцепление.

Устройство гидравлического привода

Гидравлический привод имеет более сложное устройство в сравнении с механическим. В его устройстве также присутствуют педаль и вилка сцепление, однако гибкий трос заменен следующими элементами: главный цилиндр; бачок для жидкости; рабочий цилиндр; гидравлическая магистраль. Несмотря на большее количество конструктивных элементов и более сложное устройство, гидравлический привод более совершенен, нежели механический. Главной особенностью гидравлического привода является отсутствие троса, который является механическим элементом, подверженным износу и поломкам. Главный цилиндр сцепления соединен при помощи штока с педальным узлом. Соединительный шток имеет регулируемую конструкцию, при помощи которой обеспечивается регулировка свободного хода педали. Рабочий цилиндр наиболее часто располагается непосредственно на корпусе картера сцепления и также при помощи штока связан с рычажным механизмом. Бачок для жидкости может располагаться непосредственно на главном цилиндре сцепления или в любом другом более удобном месте. При раздельном расположении, бачок соединяется с главным цилиндром при помощи гибкого резинового патрубка или жесткой металлической магистрали. Также стоит отметить, что на некоторых автомобилях гидропривод сцепления и гидравлическая тормозная система имеют общий бачок для жидкости. Главный цилиндр сцепления соединен с рабочим посредством жесткой металлической магистрали, наполненной рабочей жидкостью. Принцип работы гидравлического привода аналогичен действию гидравлической тормозной системы и в его основе лежит свойство несжимаемой рабочей жидкости. Усилие с педали сцепления передается на вилку выключения через жидкость, в качестве которой выступает тормозная жидкость. Конструктивно, главный цилиндр сцепления имеет аналогичное устройство с главным тормозным цилиндром. Основными конструктивными элементами главного цилиндра являются: корпус; шток (толкатель); резервуар (бачок) для жидкости; поршень; уплотнительные манжеты. Рабочий цилиндр также имеет аналогичное устройство. В конструкции рабочего цилиндра имеется клапан для удаления воздуха из системы.Дополнительное оборудование в приводе сцепления Гидравлический и механический приводы обеспечивают достаточный комфорт для водителя, учитывая небольшую жесткость диафрагменной пружины нажимного диска легкового автомобиля. Однако на грузовых автомобилях сцепление имеет большие размеры и соответственно требуется намного большее усилие на педали, для приведения в действие корзины. Для облегчения усилия на педали в таких случаях устанавливается пневматический (вакуумный) усилитель, принцип действия которого аналогичен вакуумному усилителю тормозной системы.

2) Назначение, общее устройство системы смазки двигателя.
Смазочная система предназначена для подачи масла к трущимся поверхностям с целью уменьшения трения, охлаждения поверхностей и удаления продуктов изнашивания из зон трения.

Если рабочие поверхности деталей абсолютно сухие и непосредственно соприкасаются одна с другой, то такое трение называется сухим. Работа механизмов при сухом трении требует значительных затрат энергии и сопровождается повышенным изнашиванием, а также значительным выделением теплоты.

Трение между рабочими поверхностями, разделенными достаточно толстым слоем масла, называется жидкостным. В этом случае усилие, необходимое для перемещения деталей, значительно сокращается и резко уменьшается их изнашивание. В ДВС жидкостное трение удается осуществить в основном только в подшипниках коленчатого вала на рабочих режимах. Остальные сопряженные пары движутся возвратно-поступательно или качаются, поэтому на их поверхностях не удается сохранить масляный слой достаточной толщины. Такое трение, когда рабочие поверхности разделены лишь тонкой пленкой масла (0, 1 мм и менее), называется граничным. В зависимости от толщины пленки граничное трение может быть полужидкостным или полусухим. Последнее характеризуется возможностью «схватывания» микровыступов трущихся поверхностей, склонностью к задирам и эрозивному изнашиванию.

Полужидкостное трение наиболее характерно для деталей цилинд-ропоршневой группы. В паре «выпускной клапан—направляющая втулка» возможно возникновение полусухого трения.

Нельзя допускать и избыточного смазывания, так как это может привести к попаданию масла в камеру сгорания и на электроды свечей зажигания, вследствие чего увеличивается нагарообразование на днищах поршней, стенках камеры сгорания и клапанах. Это приводит к перегреву и перебоям в работе двигателя, а также к перерасходу масла.

Требования, предъявляемые к смазочной системе:

• бесперебойная подача масла к трущимся деталям на всех режимах работы двигателя, на подъемах и спусках автомобиля с уклоном до 35 % и при крене до 25 %, при температуре окружающей среды от +50 до -50°С, при положительных и отрицательных горизонтальных и вертикальных ускорениях;

• достаточная степень очистки масла от механических примесей;

• продолжительная работа двигателя под нагрузкой без перегрева масла;

• прочная конструкция;

• удобство технического обслуживания.

В зависимости от способа подачи масла к трущимся поверхностям различают следующие способы смазывания:

• разбрызгивание и посредством масляного тумана;

• под давлением;

• комбинированное.

Под давлением масло подводится к трущимся деталям из главной масляной магистрали, давление в которой создается насосом.

Разбрызгивание осуществляется специальными форсунками или подвижными частями КШМ (путем создания масляного тумана, стекающего в картер из масла).

Комбинированная система смазывания сочетает в себе первые два способа.

Под давлением масло подводится к коренным и шатунным подшипникам коленчатого вала, опорам распределительного вала, сочленениям привода ГРМ, зубчатым колесам привода распределительного вала, топливному насосу высокого давления дизеля.

В некоторых двигателях под давлением смазываются сопряжения верхней головки шатуна с поршневым пальцем.

Разбрызгиванием масло подается на зеркало цилиндра из отверстия в кривошипной головке шатуна, а также разбрызгивается форсунками на днище поршня. Форсунки могут быть расположены и в нижней части цилиндра.

Существует способ смазывания самотеком, когда подача масла осуществляется по каналам из резервуаров, карманов и различных углублений, расположенных выше смазываемых поверхностей.

 

Рис. 1. Смазочная система с «мокрым» картером: 1 — манометр; 2— главная масляная магистраль; 3 — фильтр тонкой очистки; 4 — масляный радиатор; 5 — предохранительный клапан радиатора; 6 — маслозаборник; 7 — редукционный клапан; 8 — масляный насос; 9 — фильтр грубой очистки; 10 — перепускной клапан фильтра.

 

В зависимости от места размещения основного запаса масла смазочные системы могут быть с «мокрым» (рис. 1) или «сухим» (рис. 2) картером.

Наибольшее распространение на автомобильных двигателях получили смазочные системы с «мокрым» картером, которые имеют более простую конструкцию. В этом случае основной запас масла находится в поддоне картера и при работе двигателя масло подается к трущимся деталям масляным насосом.

В системах с «сухим» картером основной запас масла содержится в отдельном масляном баке 5 и масло подается к трущимся деталям нагнетающей секцией масляного насоса. Стекающее в поддон масло полностью удаляется из него откачивающими секциями масляного насоса 9 и вновь подается в масляный бак.

Смазочная система с «сухим» картером обеспечивает продолжительную работу на крутых подъемах, спусках и при кренах без утечки масла через уплотнительные манжеты коленчатого вала, а также дает возможность уменьшить высоту двигателя. Кроме того, при «сухом» картере масло в меньшей степени нагревается от горячих деталей и подвергается воздействию картерных газов, благодаря чему дольше служит.

 

Рис. 2. Смазочная система с «сухим» картером: 1 — манометр; 2 — главная масляная магистраль; 3 — фильтр тонкой очистки; 4 — масляный радиатор; 5 — масляный бак; 6 — перепускной клапан радиатора; 7 — указатель температуры масла; 8 — маслозаборник; 9 — откачивающие секции масляного насоса; 10 — нагнетающая секция масляного насоса; 11 — редукционный клапан; 12 — фильтр грубой очистки; 13 — перепускной клапан фильтра; 14 — картер двигателя

 

В смазочных системах автомобильных ДВС используются специальные моторные масла, которые в России классифицируют в соответствии с ГОСТ 17479.1-85.

К моторным маслам предъявляется ряд требований:

• низкая температура застывания;

• минимальное изменение вязкости при максимальном изменении температуры;

• как можно дольше сохранять свои физические и химические свойства;

• предотвращать образование отложений (нагары, лаки, шламы) на деталях двигателя;

• надежно защищать рабочие поверхности деталей двигателя от коррозии;

• не содержать механических примесей и воды;

• иметь минимальный расход.

В обозначении моторного масла (например, М-8-В) первая буква указывает на его назначение (М — моторное), цифра — на кинематическую вязкость масла, вторая буква — группу масла.

Основные показатели при классификации масел: тип двигателя, условия эксплуатации, форсированность двигателя. Поэтому масла по форсированности двигателя делятся на группы, которые обозначаются заглавными буквами:

• А — для нефорсированных двигателей;

• Б — для малофорсированных двигателей;

• В — для среднефорсированных двигателей;

• Г — для высокофорсированных двигателей;

• Д — для высокофорсированных дизелей, работающих в тяжелых условиях;

• Е — для тихоходных дизелей, работающих на топливе с высоким содержанием серы (масла этой группы на автомобильных двигателях не применяются).

Цифровой индекс, следующий за обозначением группы, указывает тип двигателя: для бензинового двигателя — 1 (например, Г1), для дизеля — 2 (например, Г2). Если масло подходит и для бензинового, и для дизельного двигателя, индекс опускается.

Масла перечисленных групп различают по количеству и эффективности введенных в них присадок:

Группа масла Содержание присадок, %

А.3, 5

Б.5, 5-6

В.7-10

Г.7-12, 5

Д 15-22

Меньше всего присадок в маслах группы А.

Присадки представляют собой сложные органические или металло-органические соединения, улучшающие качество масел. Так, противокоррозионные присадки создают на поверхности металла защитную пленку; вязкостные присадки повышают вязкость масла при высокой температуре и сдерживают ее нарастание при низкой температуре; моющие присадки препятствуют осаждению частиц нагара и продуктов окисления на поверхности деталей и удерживают эти частицы во взвешенном состоянии, облегчая фильтрацию масла, и т. д.

Если в обозначении класса вязкости после числа указан буквенный индекс «з», то это означает, что в масло введены загустители, уменьшающие зависимость вязкости масла от температуры, т. е. масло может применяться как всесезонное.

3) Перечислите силы, действующие в КШМ при работе двигателя
При работе двигателя на КШМ действуют силы давления газов в цилиндре, силы инерции движущихся масс, силы тяжести, силы трения и силы полезного сопротивления на коленчатом валу.
Силы трения по сравнению с другими силами невелики и зависят от многих факторов, не поддающихся точному учету (шероховатость трущихся поверхностей, условия смазки, тепловой режим, зазоры и др.). Поэтому в динамических расчетах ими пренебрегают, а учитывают механическим КПД двигателя.

Силы тяжести в двигателях высокооборотных и среднеоборотных не учитывают, так как они невелики по сравнению с действующими силами. Силы тяжести целесообразно учитывать в тех случаях, когда их относительная величина рт > 0, 015рг. Такие силы тяжести возникают в малооборотных дизелях. Определяют силы тяжести по массам деталей из рабочих чертежей или результатам взвешивания. На диаграммах динамики силы тяжести представляют в виде прямой линии.
Силы инерции. При работе двигателя от поступательно движущихся масс (ПДМ) и неуравновешенных вращающихся масс (ВМ) на КШМ действуют силы инерции (рис. 11, 3).

Билет 22
1) Диагностика технического состояния кривошипно-шатунного механизма (КШМ)

Все больше применяют способы акустической диагностики, основанные на использовании вибрационных и шумовых характеристик диагностируемых сборочных единиц, в том числе и для определения технического состояния цилиндро поршневой группы двигателя.

Возникающие вибрации в зоне цилиндров вызваны ударами в поршневой группе, особенно мощными при прохождении поршня ВМТ и при перекладке поршня с одной стороны гильзы на другую. Величина ударного импульса зависит от зазора между гильзой, поршнем и кольцами и увеличивается с увеличением износа цилиндро поршневой группы. Возникающие шумы и вибрации позволяют определять техническое состояние цилиндро нательно использовать два метода диагностирования, причем второй является контрольным. Такой усиленный контроль особенно необходим в случае приближения технического состояния проверяемого объекта к предельно допустимому.

Кривошипно-шатунный механизм состоит Из коленчатого вала с шатунными и коренными подшипниками, шатунов, поршневых пальцев и маховика. Все эти детали работают в условиях больших знакопеременных нагрузок, при значительных колебаниях температуры (особенно в период запуска двигателя) и при большой частоте вращения коленчатого вала. При тяжелых условиях работы деталей кривошипно-шатунного механизма важнейшее значение для его работоспособности имеет поддержание стабильных условий смазки в подшипниковых узлах. В сопряжениях коленчатого вала с шатунными и коренными подшипниками поддерживаются условия жидкостного трения, которые зависят от величины радиального зазора. По мере износа подшипников и шеек коленчатого вала радиальный зазор увеличивается, что приводит к увеличению утечек масла сквозь зазор из главной магистрали, снижению давления в главной магистрали, ухудшению смазки поршневого пальца. Кроме того, при этом нарушаются условия жидкостного трения, что приводит к увеличению динамических нагрузок в подшипниковых узлах.
2) Назначение и принцип работы электроусилителя рулевого управления автомобиля
Назначение, преимущества и недостатки электроусилителя

ЭУР появился недавно, намного позже хорошо известного и проверенного временем гидроусилителя рулевого колеса. Его задача аналогична – облегчить вращение руля, но принцип действия уже другой.

Если в первом случае основную функцию несла специальная жидкость ГУР, то в здесь роль «помощника» берет на себя электрический привод.

С момента появления система все время совершенствовалась. При этом год за годом электроусилитель берет «бразды правления» в свои руки и постепенно вытесняет ГУР.

В чем же преимущества электроусилителя руля? Их несколько:

· Выставлять параметры рулевого управления намного проще;

· руль стал лучше реагировать на движения водителя;

· повысился уровень надежности. Это связано с тем, что работоспособность системы уже не зависит от объема и качества специальной жидкости;

· снизился расход топлива.

Казалось бы, какая может быть закономерность. Все просто. С появлением электрического привода энергии стало расходоваться меньше, соответственно «прожорливость» авто снизилась в среднем на 0, 5 литра (из расчета на «сотню»).

Но, несмотря на свои качества, ЭУР имеет и ряд минусов:

· электрогенератор имеет ограниченную мощность, что отражается на работе всей системы. Как следствие, установка электопривода возможна только на легковых авто. Для грузовых машин или внедорожников такой тип усилителя не подойдет – он будет малоэффективен;

· низкая информативность рулевого колеса (объяснить это можно недостаточным обратным усилием). Справедливости ради, аналогичный недостаток имеет и «старший брат» — гидроусилительHYPERLINK " https://remontavtovaz.ru/avto-sovety/ustrojstvo-i-princip-raboty-gidrouselitelya-rulya.html" HYPERLINK " https://remontavtovaz.ru/avto-sovety/ustrojstvo-i-princip-raboty-gidrouselitelya-rulya.html" руляHYPERLINK " https://remontavtovaz.ru/avto-sovety/ustrojstvo-i-princip-raboty-gidrouselitelya-rulya.html".

С появлением электроусилителя у разработчиков появилась масса возможностей при разработке более современных систем, к примеру, автоматической парковки, системы курсовой устойчивости и так далее.

Электроусилитель руля-принцип работы и устройство

Сегодня есть два варианта работы электроусилителя:

· в первом случае электромотор воздействует на вал системы рулевого управления;

· во втором случае электромотор передает усилие на рулевую рейку.

Благодаря своей эффективности, вариант с передачей усилия на рулевую рейку обрел большую популярность и применяется чаще всего.

Так же в обиходе можно встретить другое название такой системы – электромеханический усилитель. Конструктивно он представляет собой усилитель руля, привод и две шестеренки.

Устройство электроусилителя руля, собирается из нескольких основных узлов в них входят – системы управления, передачи механического типа и электромотора.

Вся система находится в одном кожухе, что упрощает эксплуатацию и ремонт если вдруг возникнут какие либо нарушения в системе. В качестве основного механизма применяется электродвигатель асинхронного типа.

Задача механической передачи – передать крутящий момент от асинхронного мотора к рулевойHYPERLINK " https://remontavtovaz.ru/avto-sovety/kak-opredelit-neispravnost-rulevoj-rejki-svoimi-silami.html" HYPERLINK " https://remontavtovaz.ru/avto-sovety/kak-opredelit-neispravnost-rulevoj-rejki-svoimi-silami.html" рейке. При этом особенность электроусилителя, который имеет пару шестерен в том, что одна шестеренка передает вращение на рулевую рейку от руля, а вторая – от электрического привода.

Благодаря этому, поворот колес возможен, как от рулевого колеса, так и от приводного механизма. Друг другу они совершенно не мешают.

Конструктивно это возможно, благодаря наличию двух участков зубцов, один из которых играет роль приводного устройства.

Принцип работы электроусилителя руля, имеющего параллельный привод, немного отличается.

Здесь основную задачу берет на себя электромотор, который посредством ременной передачи и специального механизма на основе шариковой системы передает усилие на рулевую рейку.

Так же в эту систему входит несколько основных узлов – ЭБУ, датчики и исполнительный узел.

Управляющую роль берет на себя два устройства: первый датчик контролирует крутящий момент, а второй – угол поворота руля.

Одновременно с этим ЭУР обрабатывает информацию от системы ABS (точнее, от ее датчика) и устройства, фиксирующего число вращений коленвала.

Задача «мозга» автомобиля (ЭБУ) – собрать всю текущую информацию, обработать ее и дать соответствующую команду на управляющий орган системы (электродвигатель).

3) Опишите характер действия силы давления газов в цилиндре
Силы давления газов

 

Силы давления газов, действующих на поршень, условно заменяют одной силой, приложенной к оси поршневого пальца и направленной по оси цилиндра. Определяется эта сила для каждого значения угла поворота кривошипа α по индикаторной диаграмме, рассчитанной для нормального режима работы двигателя. Для этого полученную при тепловом расчете диаграмму в координатах P – V перестраивают методом проф. Ф.А. Бриска в развернутую, с координатами Р – α. Для этого, под индикаторной диаграммой строят полуокружность радиусом R=S/2. Далее от центра полуокружности (точка 0) в сторону нижней мертвой точки откладывается поправка Брикса, равная Rλ /2. Полуокружность из центра 0 делят лучами на шесть частей, а из центра 0’ проводят линии, параллельные этим лучам. Точки, полученные на полуокружности, соответствуют определенным углам положения кривошипа. Из этих точек проводят вертикальные линии до пересечения с контуром индикаторной диаграммы.

Справа от индикаторной диаграммы наносят координаты Р – α. При этом ост абсцисс располагают на уровне линии атмосферного давления Р0, так как давление на диаграмме Р – α изображается избыточное давление над поршнем. Ось абсцисс на диаграмме Р – α делят вертикальными линиями на отрезки, через 30° угла поворота кривошипа и обозначают точки соответствующими значениями угла.

Развертку индикаторной диаграммы начинается от верхней мертвой точки процесса впуска. Для чего величины давлений, полученные пресечением вертикальных линий с контуром диаграммы Р – V, переносят на соответствующие линии диаграмма Р – α. Следует учесть, что давление процесса впуска на диаграмме Р – α должны быть отрицательными. Точку Zg действительного давления конца сгорания, отмечают на развернутой диаграмме отдельно, так как ее положение соответствует 370° угла поворота кривошипа. Полученные точки соединяют плавной кривой с помощью лекала.

Численное значение величины силы давления газов на поршень (кН) определяют по формуле:

 

 

где Рг и Р0 – давления газа на поршень и атмосферное давление в МН/м2, принятые по диаграмме Р – V, Fn – площадь поршня, м2.

Поскольку площадь поршня есть величина постоянная, то кривая сил Рr в диаграмме Р – α будет иметь тот же характер, что и кривая давления газов Рг.

Для определения величины сил давления газов по развернутой диаграмме пересчитывают ее масштаб (кН/мм)

 

 

где Мg – масштаб давления, Fn – площадь поршня, м2.

Шкалу сил наносят на оси ординат развернутой диаграммы. Составляют сводную таблицу величин, определяемых динамическом расчете. В графу 1 записывают значения угла поворота кривошипа от 0° до 720° через принятый интервал 30°. Отдельно помещают угол 370°, которому соответствует максимальное давление газа. По развернутой диаграмме для каждого угла поворота кривошипа определяют значения силы давления газа Рr и заносят в графу 2 с соответствующим знаком. Силы считаются положительными, если они направлены к оси коленчатого вала.

Билет 23
1) Техническое обслуживание трансмиссии автомобилей.
На режим движения автомобиля большое влияние оказывает состояние узла сцепления, которое служит для мгновенного отключения двигателя от механизмов трансмиссии при переключении передач, торможении и остановке автомобиля. Кроме того, сцепление служит для плавного соединения двигателя с механизмами трансмиссии при трогании автомобиля с места и после переключения передач. В случае резкого торможения сцепление предохраняет двигатель и механизмы трансмиссии от перегрузки.

Средний срок эксплуатации сцепления в иномарках соответствует 1000–1200 тыс. км пробега. Износ зависит от нагрузки и соблюдения водителем правильного режима движения. Сцепление современных отечественных автомобилей и иномарок в принципе не требует специального технического обслуживания, за исключение регулировки хода педали сцепления, а в некоторых автомобилях даже зазор сцепления регулируется автоматически. По мере износа педаль приподнимается вверх по направлению к водителю. В более старых автомобилях при техническом обслуживании следует проверять уровень жидкости в бачке сцепления.

При обслуживании автомобиля необходимо ежедневно перед выездом проверить работоспособность сцепления и проконтролировать уровень жидкости в бачке для сцеплений с гидравлическим приводом. Через каждые 15 тыс. км пробега или по мере необходимости нужно проверить и отрегулировать привод сцепления. Через 30 тыс. км пробега или через два года эксплуатации следует поменять тормозную жидкость в гидроприводе сцепления. Через пять лет или через 150 тыс. км пробега необходимо заменить защитные резиновые чехлы и демпферы, которые применяют в тросовом приводе сцепления, независимо от их технического состояния.

Характерными неисправностями сцепления являются:

пробуксовка сцепления (причина – отсутствие свободного хода педали или рычага вилки выключения сцепления);

пробуксовка сцепления при нормальном свободном ходе (причины – замасливание фрикционных накладок ведомого диска, поверхностей маховика и нажимного диска, повышенный износ или пригорание фрикционных накладок ведомого диска, засорение или перекрытие кромкой уплотнительного кольца компрессионного отверстия главного цилиндра, разбухание манжет главного и рабочего цилиндров из-за применения несоответствующего сорта тормозной жидкости или ее загрязнение);

неполное выключение сцепления, сопровождаемое шумом в коробке передач (причины – недостаточно полный ход педали сцепления для сцепления с беззазорным приводом, увеличение свободного хода педали, попадание воздуха в гидропровод, утечка воздуха из системы гидропровода);

рывки при трогании с места (причины – износ ведомого диска, заедание выжимной муфты на направляющей втулке, поломка демпферных пружин, износ шлицев ступицы ведомого диска или первичного вала, замасливание фрикционных накладок ведомого диска, поверхностей маховика и нажимного диска);

шум при включении сцепления (причины – поломка или потеря упругости демпферных пружин, недостаточно свободный ход педали сцепления, поломка или потеря упругости либо соскакивание оттяжной пружины вилки выключения сцепления);

заедание педали сцепления в нажатом положении (причины – поломка или отсоединение оттяжной пружины, засорение отверстий в крышке бачка, заедание ступицы ведомого диска на шлицах первичного вала коробки передач, поломка фрикционной накладки ведомого диска или ослабление заклепок, коробление ведомого диска, нарушение работоспособности привода сцепления).

Коробка передач служит для изменения силы тяги на ведущих колесах машины, а также обеспечивает задний ход автомобиля и разобщение двигателя и сцепления от других агрегатов трансмиссии при переключении коробки в нейтральное положение. Для коробки передач характерны две разновидности: механическая и автоматическая, причем большинство современных автомобилей выпускается с автоматической коробкой передач, использование которой обеспечивает уменьшение расхода топлива, более высокое качество переключения передач, большой выбор режимов езды, например, зимний, спортивный, экономичный.

При обслуживании автоматической коробки передач уровень масла необходимо проверять не реже, чем через 15 тыс. км пробега. Замену масла производят раз в три года, но не позже чем через 45–50 тыс. км пробега. Если автомобиль работает в условиях сельской местности либо в качестве такси, масло заменяют через 35 тыс. км пробега. Для автоматической трансмиссии применяют только специальное масло.

При обслуживании ведущего моста и механической коробки передач ежедневно перед выездом необходимо убеждаться в отсутствии подтекания масла по пятнам на месте стоянки из коробки передач и ведущего моста, шума на работающей коробке передач и в легкости переключения передач. Через 15–30 тыс. км пробега необходимо проверить уровень масла в остывшей коробке и ведущем мосту и при необходимости долить его. Примерно в эти же сроки необходимо прочистить сапун коробки передач на переднеприводных автомобилях или картера заднего моста на автомобиле классической схемы компоновки. Через 70–100 тыс. км пробега следует заменить масло в коробке передач и ведущем мосту.

При проверке на картере не должно быть трещин, а на поверхности гнезд для подшипников – износа или повреждений. На поверхностях сопряжения картера сцепления с крышкой также не должно быть повреждений, способных вызвать расхождение осей и недостаточную герметичность, что может привести к утечке масла. На рабочих кромках сальников должны отсутствовать повреждения и неровности. Допустимый износ рабочей кромки по ширине не более 1 мм. Сальники следует заменять даже при незначительных повреждениях или потере эластичности, но лучше всего при сборке коробки передач использовать новые.

На рабочих поверхностях шлицов ведомого вала не допускаются повреждения и чрезмерный износ. На поверхности качения подшипников на переднем конце ведомого вала и в отверстии ведущего вала не должно быть видимых неровностей. Не допускается выкрашение или чрезмерный износ зубьев промежуточного вала. Шлицы и канавки валов не должны иметь вмятин, задиров и износа, чтобы обеспечить безлюфтовую посадку синхронизаторов. Поверхность оси шестерни заднего хода должна быть гладкой, без следов заедания. При больших повреждениях и деформациях вал заменяют новым.

Обслуживая механизмы выбора и переключения передач, проверяют состояние рычага выбора передач, блокировочных скоб, штока выбора передач, сальника и защитного кольца крепления рычага выбора передач. Изношенные и поврежденные детали следует заменить. Проверяют и посадку рычага переключения передач в шаровой опоре, который должен поворачиваться в опоре свободно, без заеданий, и не иметь свободного хода. Не допускается деформация тяги привода и повреждение защитного чехла.

При осмотре механизма блокировки заднего хода проверяют ось механизма блокировки. Она должна плотно удерживаться на основании, а рычаг после его поворота в каждое из двух крайних положений возвращаться автоматически под действием пружины в исходное среднее положение. Рычаг в исходном положении при покачивании его рукой не должен иметь свободного хода.

При обслуживании карданной передачи ежедневно проверяют наличие стуков, повышенной вибрации и шума. Состояние карданного вала без его разборки проверяют при поднятом автомобиле или на осмотровой канаве. Осматривают карданный вал на наличие зазубрин, трещин, погнутостей трубы вала. Если они обнаружены, вал следует заменить. Для проверки зазора в карданном шарнире или шлицевом соединении одной рукой берут вал около места соединения, другой стараются повернуть его в стороны либо покачать, а также приподнимают каждую из сторон шарнира. Увеличенные люфты в карданной передаче и в остальных агрегатах трансмиссии можно определять с помощью люфтомеров.

Путем внешнего осмотра проверяют состояние уплотнений карданных шарниров и шлицевого соединения. Осматривают переднюю эластичную резиновую муфту. На ней не должно быть повреждений и раздутий резины, расколов вокруг монтажных болтов. Наличие масляных загрязнений свидетельствует об износе заднего сальника коробки передач, а на заднем карданном шарнире – об износе сальника главной передачи.

Таким же образом осматривают промежуточную опору. Подшипник промежуточной опоры проверяют путем подъема вала. Если при этом ощущается перемещение (люфт), подшипник нужно снять и проверить его состояние, покрутив наружное кольцо рукой. При значительном износе подшипник следует заменить.

Через каждые 10 тыс. км пробега следует проверить и при необходимости подтянуть болты и гайки крепления фланцев карданных шарниров и промежуточные опоры карданного вала. Через 40–60 тыс. км пробега смазывают консистентной смазкой шлицевое соединение карданного вала. При осмотре необходимо также проверить затяжку всех монтажных блоков.

При обслуживании привода передних колес через каждые 15 тыс. км пробега, а при езде по проселочным дорогам без покрытия или с гравийным покрытием значительно чаще проверяют и очищают защитные чехлы шарниров.

При работе заднего ведущего моста могут возникать шумы, стуки, повышенный нагрев, утечка масла. Основными причинами постоянного шума и нагрева при работе заднего ведущего моста могут быть следующие: недостаточный уровень масла или применение несоответствующего его сорта; неправильная регулировка зацепления конических шестерен главной передачи; износ или разрушение подшипников ведущих шестерен; ослабление крепления фланца ведущей шестерни; поломка зубьев шестерен; износ шлицевого соединения полуосевых шестерен; деформация балки заднего моста или полуосей.

Основными причинами шума при разгоне и торможении автомобиля двигателем могут быть: увеличенный зазор в подшипниках ведущей шестерни, их износ или разрушение, неправильный боковой зазор между зубьями шестерен главной передачи.

Основные причины шума при поворотах и резком изменении частоты вращения коленчатого вала двигателя это: заедание шеек полуосевых шестерен, заклинивание сателлитов, ослабление болтов чашки дифференциала, неправильная регулировка шестерен дифференциала, тугое вращение сателлитов на оси.

Шум со стороны задних колес может быть вызван: ослаблением крепления колес, износом или разрушением шарикового подшипника полуоси.

Причинами шумов и стуков в начале движения автомобиля могут стать увеличенный зазор в шлицевом соединении вала ведущей шестерни с фланцем, износ отверстия под ось сателлитов в коробке дифференциала, ослабление болтов крепления реактивных штанг задней подвески.

Причинами утечки масла – износ или повреждение сальников, повреждение уплотнительных прокладок, а также ослабление болтов крепления картера.

Если карданный вал вращается, но автомобиль не трогается с места, то либо сорвало шпонки полуоси, либо поломка полуоси.

2) Назначение, устройство и работа масляного насоса легкового автомобиля

1)Ремонт-это комплекс операций по восстановлению исправного, или работоспособного состояния ресурса и обеспечения безопасности работы автомобиля и его составных частей.

Ремонт подразделяют на текущий и капитальный.

2)Текущий ремонт осуществляется в автотранспортных предприятиях или на станциях технического обслуживания и заключается в устранении мелких неисправностей и отказов автомобиля, способствуя, выполнению установленных норм пробега автомобиля, до капитального ремонта. Текущий ремонт включает проведение разборачно-сборачных, слесарных, сварочных и других работ, а также замену деталей в агрегатах (кроме базовых) и замену отдельных узлов и агрегатов, требующих ремонт. При текущем ремонте агрегаты меняются только в том случае, если время ремонта агрегата превышает время, необходимое для его замены.

3)Капитальный ремонт автомобилей, агрегатов и узлов выполняется на специализированных предприятиях. Он предусматривает восстановление работоспособности автомобиля и агрегатов для обеспечения их пробега до следующего капитального ремонта или спасения их, но не менее чем при 80% их пробега для новых автомобилей агрегатов. При капитальном ремонте автомобиля или агрегата выполняются его полная разборка на узлы и детали, которые ремонтируют или заменяют. Легковые автомобили и автобусы направляют в капитальный ремонт, если необходим капитальный ремонт, если необходим капитальный ремонт его кузова. Грузовые автомобили направляют в капитальный ремонт, если необходим капитальный ремонт рамы, кабины, а также трёх основных агрегатов. За свой срок службы автомобиль подвергается, как правило, одному капитальному ремонту.

Для нагнетания масла в магистральны каналы и подачи его под давлением к трущимся деталям узлов и механизмов двигателя служит масляный насос.

Двухсекционный, шестерёнчатый масляный насос состоит из корпуса верхней и корпуса нижней секции насоса, разделённых между собой промежуточной крышкой. Ведущие шестерни соответственно верхней и нижней секции с помощью шпонок крепятся на валу насоса, который приводится в действие от распределительного вала. В корпусе каждой секции на осях свободно установлены ведомые зубчатые колеса. Давление масла, нагнетаемого в радиатор, поддерживается шариковым перепускным клапаном, отрегулированным на давление 0, 12- 0, 15 МПа.

При работе насоса масло из картера двигателя подается во всасывающие полости верхней и нижней секций, заполняет впадины между зубьями зубчатых колес и далее переносится вдоль стенок корпусов и в полость нагнетания, из которых оно поступает к масляным фильтрам и радиатору.

Технологическая карта разборки

3) Характеристики изохорного, изобарного, изотермического и адиабатического процессов
Изохорный процесс (v=const)

Такой процесс может совершаться рабочим телом, находящимся в цилиндре при неподвижном поршне, если к рабочему телу подводится теплота от источника теплоты (см. рис. 4.1) или отводится теплота от рабочего тела к холодильнику. При изохорном процессе выполняется условие dv=0 или v=const. Уравнение изохорного процесса получим из уравнения состояния идеального газа (см. & 1.6) при v=const. В pv -координатах график процесса представляет собой прямую линию, параллельную оси p. Изохорный процесс может протекать с повышением давления (процесс 1-2) и с понижением (процесс 1-2’).

Рис. 4.1. График изохорного процесса в p-v координатах

Запишем для точек 1 и 2 уравнения состояния: p1·v=R·T1; p2·v=R·T2. Следовательно, для изохорного процесса

(4.6)

 

Приращение внутренней энергии газа

(4.7)

 


Работа газа

 

 

так как dv=0.

Энтальпия газа iv=u+p·v, а div=du+d(p·v)=du+p·dv+v·dp=du+v·dp. Поэтому

(4.8)

 

Энтропия

То есть

(4.9)

 

4.2.2.Изобарный процесс (p=const)

В p-v координатах график процесса представляет собой прямую линию параллельную оси v (рис. 4.2). Изобарный процесс может протекать с увеличением объёма (процесс 1-2) и с уменьшением (процесс 1-2’). Запишем для точек 1 и 2 уравнения состояния: p·v1=R·T1; p·v2=R·T2.

Рис. 4.2. График изобарного процессав p-v координатах

Следовательно, для изобарного процесса

(4.10)

 


Приращение внутренней энергии газа Работа газа Так как p·v2=R·T2, а p·v1=R·T1, то l=R·(T2-T1). Следовательно, газовая постоянная имеет определённый физический смысл: это работа 1 кг газа в изобарном процессе при изменении температуры на один градус. Из выражения (4.3) следует, что в изобарном процессе q=cp·(T2-T1). В соответствии с первым законом термодинамики для изобарного процесса можно записать dq=du+p·dv= du+d(p·v)=di. Поэтому в изобарном процессе di=q=cp·(T2-T1). Из соотношений, характеризующих изобарный процесс, вытекает известное уравнение Майера. Так как dq=cp·dT=cv·dT+dl=cv·dT+R·dT, то R=cp-cv.

Используя выражение (4.5), можно показать, что в изобарном процессе энтропия газа

(4.11)

 

4.2.3.Изотермический процесс (T=const)

В p-v координатах график процесса изображается равнобокой гиперболой (рис. 4.3). Изотермический процесс может протекать как с увеличением объёма (процесс 1-2), так и с уменьшением объёма (процесс 1-2’).

Рис. 4.3. График изотермического процесса в p-v координатах

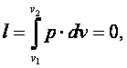
Запишем для точек 1 и 2 уравнения состояния p1·v1=R·T; p2·v2=R·T. Следовательно, для изотермического процесса p1·v1=p2·v2=const.

Приращение внутренней энергии газа

 

 

Работа газа

(4.12)

 

Теплота, подводимая в процессе

(4.13)

 

Изменение энтальпии газа Δ i=Δ u+Δ (p·v)=0.

Изменение энтропии газа

(4.14)

 



Поделиться с друзьями:

mylektsii.su - Мои Лекции - 2015-2026 год. (1.082 сек.)Все материалы представленные на сайте исключительно с целью ознакомления читателями и не преследуют коммерческих целей или нарушение авторских прав Пожаловаться на материал