Студопедия

Главная страница Случайная страница

КАТЕГОРИИ:

АвтомобилиАстрономияБиологияГеографияДом и садДругие языкиДругоеИнформатикаИсторияКультураЛитератураЛогикаМатематикаМедицинаМеталлургияМеханикаОбразованиеОхрана трудаПедагогикаПолитикаПравоПсихологияРелигияРиторикаСоциологияСпортСтроительствоТехнологияТуризмФизикаФилософияФинансыХимияЧерчениеЭкологияЭкономикаЭлектроника






Адиабатный процесс






Адиабатный процесс – это процесс, при котором рабочее тело не обменивается теплотой с окружающей средой (dq=0). Для получения графика процесса в p-v координатах выполним некоторые преобразования.

В соответствии с первым законом термодинамики dq=cv·dT+p·dv=c·dT, где с – теплоёмкость термодинамического процесса. Тогда можно записать, что

(4.15)

 

Продифференцируем уравнение состояния идеального газа и запишем

(4.16)

 

Так как R=cp-cv, то выражение (4.15) можно переписать с учётом (4.16) следующим образом:

(4.17)

 

Выполним преобразования выражения (4.17).

 

 

 

 

(4.18)

 

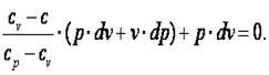
Разделим выражение (4.18) на (cv-c)·p·v и получим:

(4.19)

 

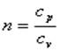
Обозначим , тогда

 

 

 

 

 

 

 

 

 

 

Следовательно

(4.20)

 

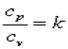
В адиабатном процессе dq=0, то есть c·dT=0. Поэтому c=0. Значит в адиабатном процессе . Эту величину принято обозначать буквой и называть показателем адиабаты.

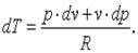
Поэтому в p-v координатах адиабатный процесс изображается неравнобокой гиперболой vk·p=const (рис. 4.4). Так как k> 1, то адиабата проходит круче гиперболы. Адиабатный процесс может протекать как с увеличением объёма (процесс 1-2), так и с уменьшением объёма (процесс 1-2’).

 
Рис. 4.4. График адиабатного процесса в p-v координатах

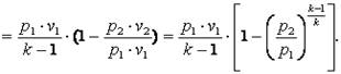
Запишем для точек 1 и 2 уравнения состояния p1·v1=R·T1; p2·v2=R·T2. Так как в адиабатном процессе p1·v1k=p2·v2k, то , , .

Приращение внутренней энергии газа .

Так как , а , то , а . Поэтому

(4.21)

 


Работа газа в адиабатном процессе выполняется за счёт его внутренней энергии. Так как в адиабатном процессе отсутствует обмен теплотой с окружающей средой, то в соответствии с первым законом термодинамики имеем l+Δ u=0 или l=-Δ u. Поэтому

 

 

(4.22)

 

Изменение энтальпии газа в адиабатном процессе может быть определено исходя из следующих соображений:

 

 

Так как , то в итоге получим

(4.23)

 

Энтропия газа в адиабатном процессе не изменяется, так как dq=0. Поэтому в T-s координатах адиабатный процесс изображается прямой линией, параллельной оси температур.

Билет 24
1) Стенды для диагностики тормозной системы автомобиля
Диагностика тормозной системы автомобиля

Все мы помним анекдот о том, как некий человек обратился к доктору с жалобами на то, что у него там-то и там-то болит. Доктор его осмотрел и ответил, что, мол, о причинах недомоганий расскажет вскрытие... И фраза «вскрытие покажет» давно уже стала любимым присловьем практически всех сотрудников автосервиса. Но мы все понимаем, что вполне можно обойтись без столь кардинальных хирургических мер. Регулярная терапия подчас приносит больший доход, чем редкие хирургические операции. Для чего надо освоить соответствующие методики и, разумеется, подкрепить их соответствующим оборудованием. В относительно недавние времена в нашей стране существовала практика обязательной ежегодной диспансеризации сотрудников любого предприятия или организации. Дело, бесспорно, полезное, так как, не зная, что у тебя болит - лечиться не будешь. Сейчас этого нет, но многие люди, пекущиеся о своем здоровье, предпочитают пройти профилактическое обследование, дабы вовремя обнаружить признаки какой-нибудь хвори и принять превентивные меры. И делают это не раз в год и не по принуждению. Аналогичные тенденции наблюдаются и у уважающих себя автовладельцев. Люди начинают понемногу понимать, что своевременно выявить неисправность безопаснее и дешевле, по ряду параметров, чем потом ликвидировать ее последствия. И мы должны всячески способствовать тому, чтобы все или почти все автовладельцы осознали наконец, что не нужно дожидаться, когда у их автомобиля что-нибудь отвалится. Гораздо экономичнее заблаговременно выбрать время, обнаружить и устранить проблему, чем, неожиданно остановившись средь дороги, да еще на приличном расстоянии от «очагов цивилизации», судорожно искать решение возникшей проблемы. Страдать от рухнувших планов, потерянного времени и денег, не говоря уже о более серьезных последствиях.

ОБЪЕКТ ОБСЛЕДОВАНИЯ

Рассмотрим ситуацию на примере одной из самых ответственных систем автомобиля - тормозной.

На сегодняшний день, согласно действующему ГОСТ 25478-91, применяется два основных метода диагностики тормозов - дорожный и стендовы й. Для них, соответственно, установлены следующие параметры - при проведении дорожных испытаний:

- тормозной путь;

- установившееся замедление;

- линейное отклонение;

- уклон дороги, на котором должно неподвижно удерживаться АТС;

при стендовых испытаниях:

- общая удельная тормозная сила;

- время срабатывания тормозной системы;

- коэффициент неравномерности тормозных сил колес оси;

а для автопоезда еще дополнительно:

- коэффициент совместимости звеньев автопоезда;

- асинхронность времени срабатывания тормозного привода.

2) Устройство, принцип действия бесконтактной системы зажигания.
ПРИНЦИП ДЕЙСТВИЯ И УСТРОЙСТВО

На части автомобилей «Ода» установлены бесконтактные системы зажигания, применение которых повышает топливную экономичность двигателя, уменьшает нагарообразование и токсичность отработанных газов, а также облегчает запуск двигателя зимой. Кроме того, бесконтактные системы зажигания обладают повышенной надежностью и стабильностью в работе, значительно реже требуют технического обслуживания, т.к. вследствие отсутствия подвижных контактов прерывателя отпадает необходимость в периодической их очистке и регулировке между ними зазора. Бесконтактные системы зажигания содержат датчик-распределитель, коммутатор, катушку зажигания, свечи зажигания со свечными наконечниками и выключатель зажигания.

 


Поделиться с друзьями:

mylektsii.su - Мои Лекции - 2015-2026 год. (1.415 сек.)Все материалы представленные на сайте исключительно с целью ознакомления читателями и не преследуют коммерческих целей или нарушение авторских прав Пожаловаться на материал