Студопедия

Главная страница Случайная страница

КАТЕГОРИИ:

АвтомобилиАстрономияБиологияГеографияДом и садДругие языкиДругоеИнформатикаИсторияКультураЛитератураЛогикаМатематикаМедицинаМеталлургияМеханикаОбразованиеОхрана трудаПедагогикаПолитикаПравоПсихологияРелигияРиторикаСоциологияСпортСтроительствоТехнологияТуризмФизикаФилософияФинансыХимияЧерчениеЭкологияЭкономикаЭлектроника






Желчные кислоты синтезируются в печени из ХС.






Синтез происходит в мембранах эндоплазматического ретикулума гепатоцитов, при участии гидроксилаз:


В печени образуются первичные желчные кислоты – холевая и хенодезоксихолевая.

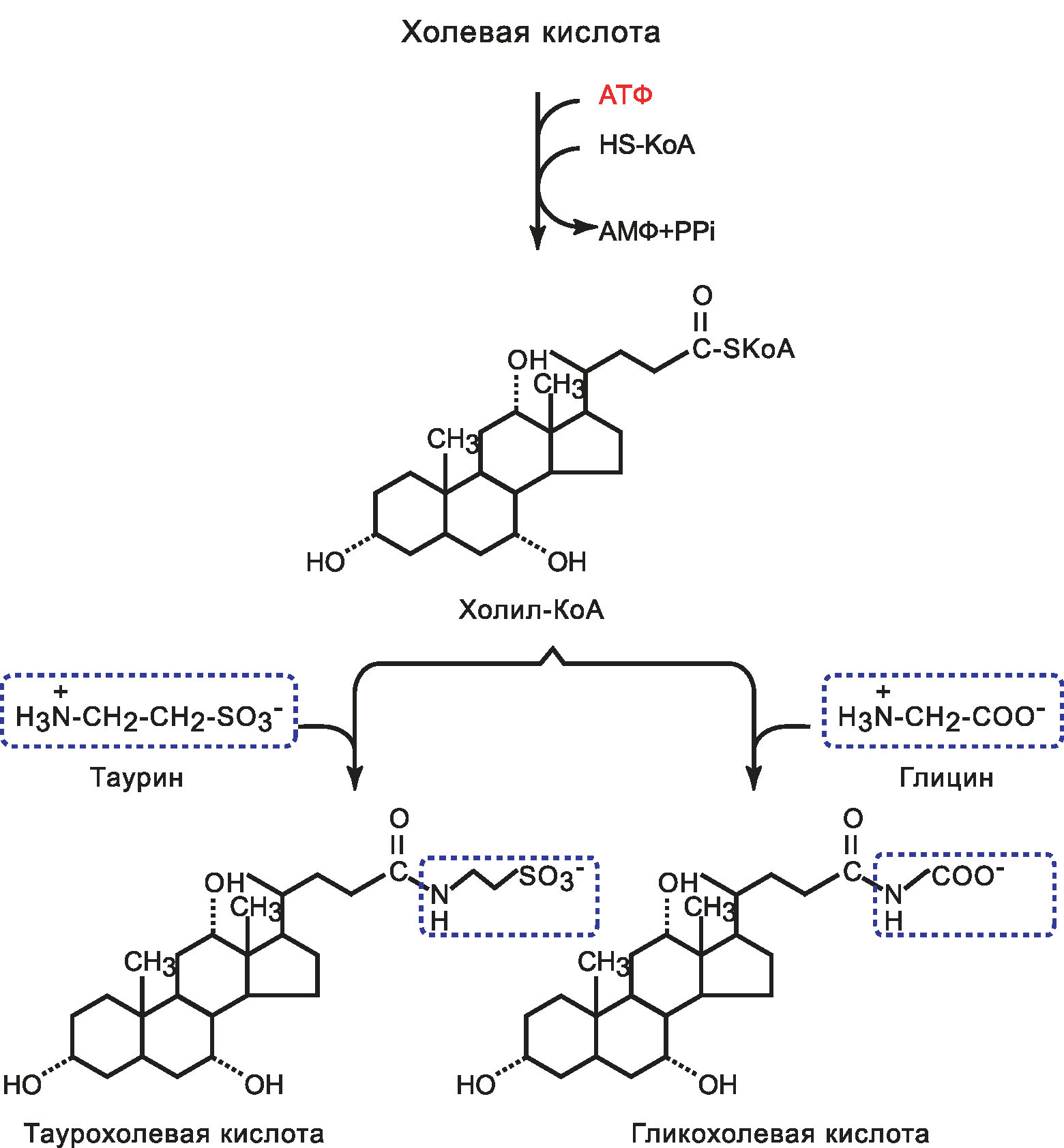
Далее, они конъюгируются с глицином и таурином, образуя парные (конъюгированные) желчные кислоты – гликохолевую, таурохолевую, гликохенодезоксихолевую и таурохенодезоксихолевую:

Конъюгация желчных кислот:


Парные желчные кислоты – более амфифильны и у них лучше выражены эмульгирующие свойства, из-за наличия анионных групп, препятствующих слипанию липидных капель.

Далее парные желчные кислоты секретируются в желчный пузырь и накапливаются в желчи.

При приеме жирной пищи выделяется гормон холецистокинин, который стимулирует сокращение желчного пузыря и желчь поступает в тонкий кишечник, обеспечивая эмульгирование жиров и ЭХС.

В нижних отделах тонкой кишки часть желчных кислот под действием ферментов бактерий теряет глицин, таурин, ОН-группу в положении 7 и превращается во вторичные желчные кислоты – литохолевую и дезоксихолевую.


Поделиться с друзьями:

mylektsii.su - Мои Лекции - 2015-2026 год. (0.996 сек.)Все материалы представленные на сайте исключительно с целью ознакомления читателями и не преследуют коммерческих целей или нарушение авторских прав Пожаловаться на материал