Студопедия

Главная страница Случайная страница

КАТЕГОРИИ:

АвтомобилиАстрономияБиологияГеографияДом и садДругие языкиДругоеИнформатикаИсторияКультураЛитератураЛогикаМатематикаМедицинаМеталлургияМеханикаОбразованиеОхрана трудаПедагогикаПолитикаПравоПсихологияРелигияРиторикаСоциологияСпортСтроительствоТехнологияТуризмФизикаФилософияФинансыХимияЧерчениеЭкологияЭкономикаЭлектроника






Уравнения движения вязкой жидкости (Навье-Стокса)






 

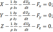
Дифференциальные уравнения движения вязкой жидкости можно составить, дополнив уравнения Эйлера (4.2) слагаемыми, учитывающими вязкость жидкости:

(4.3)

где Fx, Fy, и Fz - проекции сил вязкости, отнесенные к единице массы жидкости.

Определим силы Fx, Fy и Fz, полагая, что жидкость движется слоями, без перемешивания. Силы вязкости вызывают касательные и нормальные напряжения.

Выделим элемент жидкости в форме параллелепипеда с ребрами dx, dy, dz и определим проекции сил вязкости, действующих на те грани параллелепипеда, которые образуют трехгранный угол с вершиной А (рис. 4.2). Введем двойную индексацию напряжений. Первый индекс указывает на то, что площадка, для которой определяется напряжение, расположена нормально к соответствующей оси координат, а второй индекс - направление действия напряжения. Тогда проекции сил:

на ось 0x pxxdydz; τ yxdxdz; τ zxdxdy;

на ось 0y pyydxdz; τ xydydz; τ zydxdy;

на ось 0z pzzdxdy; τ xzdydz; τ yzdxdz.

Проекции сил, действующих на грани трехгранного угла с вершиной С':

ось 0x ; ; ;

ось 0y ;

ось 0z .

Здесь для оси 0x: ; ; .

Определим сумму проекций сил вязкости на ось 0x. Учитывая, что силы, действующие на грани угла с вершиной C ′, направлены противоположно силам, действующим на грани угла с вершиной А, получим

.

Но

; ; .

Поэтому, делая соответствующую подстановку, найдем

.

Сила Fx, входящая в уравнение (4.3), - это проекция силы вязкости, отнесенной к единице массы жидкости, то есть , поэтому

. (4.4)

Рис. 4.2
Напряжения τ yx на задней грани dxdz одинаковы для всех её то-чек, т.е. не зависят от координат x и z и изме-няются только при перемещении этой грани вдоль оси 0y, то есть зависят от координаты y. Другими словами, τ yx - это касательные напряжения, зависящие только от градиента скорости . Поэтому, согласно закону трения Ньютона:

τ yx=µ∂ Ux / ∂ y,

и, аналогично, на нижней грани dxdy:

τ zx=µ∂ Ux / ∂ z.

Рассмотрим производную ∂ pxx / ∂ x. Здесь pxx - нормальное к площадке dydz напряжение, обусловленное влиянием вязкости (сжатие в условиях торможения и растяжение при ускоренном движении). Поэтому можно допустить, что напряжение pxx также определяется по закону Ньютона:

.

Тогда

.

Рассуждая аналогично и делая соответствующие подстановки в уравнение (4.4), получим

или, так как µ/ρ =ν, .

Аналогично для проекций сил вязкости на оси 0y и 0z:

; .

Вводя выражения для сил Fx, Fy, Fz в (4.3), получим дифференциальные уравнения движения вязкой жидкости - уравнения Навье-Стокса:

. (4.5)

Более кратко уравнения Навье-Стокса записываются с помощью дифференциального оператора Лапласа 2-го порядка :

. (4.6)

При решении задач движения несжимаемой жидкости к уравнениям (4.6) необходимо добавить уравнение неразрывности (3.17)

,

чтобы получить замкнутую систему из четырех уравнений для определения четырех неизвестных функций Ux, Uy, Uz, p.

Кроме того, для определения произвольных постоянных и функций, появляющихся при интегрировании, должны быть сформулированы так называемые краевые условия, то есть совокупность начальных и граничных условий.

Начальные условия (в случае нестационарного движения) указываются заданием поля скоростей и давлений в некоторый начальный момент времени.

Граничные условия для случая вязкой жидкости состоят в признании того, что частицы жидкости, непосредственно соприкасающиеся с поверхностью твердого тела, прилипают к ней и поэтому имеют одинаковую с ней скорость.

В частном случае при обтекании неподвижного тела граничное условие для скорости жидкости должно быть записано в виде U = 0.

Уравнения (4.5) движения реальной (вязкой) жидкости - это нелинейные уравнения второй степени в частных производных. В общем виде эти уравнения не интегрируются. Их решение возможно лишь для частных случаев, допускающих упрощения путем отбрасывания тех или иных членов.

 

 


Поделиться с друзьями:

mylektsii.su - Мои Лекции - 2015-2026 год. (1.106 сек.)Все материалы представленные на сайте исключительно с целью ознакомления читателями и не преследуют коммерческих целей или нарушение авторских прав Пожаловаться на материал