Студопедия

Главная страница Случайная страница

КАТЕГОРИИ:

АвтомобилиАстрономияБиологияГеографияДом и садДругие языкиДругоеИнформатикаИсторияКультураЛитератураЛогикаМатематикаМедицинаМеталлургияМеханикаОбразованиеОхрана трудаПедагогикаПолитикаПравоПсихологияРелигияРиторикаСоциологияСпортСтроительствоТехнологияТуризмФизикаФилософияФинансыХимияЧерчениеЭкологияЭкономикаЭлектроника






Уравнение Д. Бернулли для струйки невязкой жидкости






 

При установившемся движении локальные ускорения равны нулю, т. е.

,

и уравнения Эйлера (4.2) записываются в виде:

(4.22)

Умножим первое из уравнений (4.22) на dx:

. (4.23)

Преобразуем правую часть (4.23) с учетом того, что :

.

Но Uxdt, Uydt и Uzdt - проекции на оси Ox, Oy и Oz перемещения частицы жидкости вдоль элементарной струйки, т. е. соответственно равны dx, dy и dz, поэтому исследуемое выражение можно представить в виде

,

где dUx - полный дифференциал компоненты Ux скорости частицы, определяемой вдоль элементарной струйки.

Так как , то уравнение (4.23) запишем в виде

.

Аналогично преобразуем второе и третье уравнения системы (4.22):

.

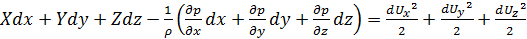
Сложим полученные уравнения и сгруппируем слагаемые в них:

. (А)

Положим, что объемные силы, действующие на жидкость, обладают потенциалом, то есть существует такая скалярная функция Π, для которой

; ; .

Тогда

Xdx+Ydy+Zdz=dΠ.

При установившемся движении

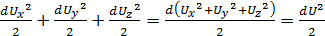
Наконец,

.

Следовательно, вместо (А) можно написать

. (4.24)

Проинтегрируем (4.24) вдоль линии тока:

(4.25)

Это уравнение пригодно и для трубки тока, если скорости во всех точках сечения одинаковы и зависят только от S. Постоянная в правой части неизменна вдоль одной линии тока и изменяется при переходе к другой линии.

Если движение происходит только под действием силы тяжести, то силовая функция П=-gz и уравнение (4.25) записывается в виде

, (4.26)

или, после деления на g,

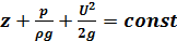
. (4.27)

Выражение (4.27) - уравнение Бернулли для струйки установившегося движения идеальной несжимаемой жидкости.

Иногда уравнение (4.27) называют законом Бернулли, поскольку оно представляет следствие закона сохранения энергии для стационарного потока идеальной несжимаемой жидкости.

Здесь z - геометрическая высота центра тяжести сечения струйки над горизонтальной плоскостью x0y; p/ρ g - пьезометрическая высота; U 2/2 g - скоростная высота.

 

Литература по содержанию лекции:

1. Чугаев Р. Р. Гидравлика (Техническая механика жидкости). - Л.: Энергоиздат, 1982. - 672 с.

2. Штеренлихт Д. В. Гидравлика. - М.: Энергоатомиздат, 1985. - 640 с.


Поделиться с друзьями:

mylektsii.su - Мои Лекции - 2015-2026 год. (0.956 сек.)Все материалы представленные на сайте исключительно с целью ознакомления читателями и не преследуют коммерческих целей или нарушение авторских прав Пожаловаться на материал