Студопедия

Главная страница Случайная страница

КАТЕГОРИИ:

АвтомобилиАстрономияБиологияГеографияДом и садДругие языкиДругоеИнформатикаИсторияКультураЛитератураЛогикаМатематикаМедицинаМеталлургияМеханикаОбразованиеОхрана трудаПедагогикаПолитикаПравоПсихологияРелигияРиторикаСоциологияСпортСтроительствоТехнологияТуризмФизикаФилософияФинансыХимияЧерчениеЭкологияЭкономикаЭлектроника






Уравнения Рейнольдса






 

Подставив в уравнения Навье-Стокса (4.29) вместо компонент скорости их выражения (5.34) через осредненные и пульсационные скорости, можно получить уравнения Рейнольдса для установившегося (в среднем) турбулентного движения:

(5.37)

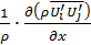
В отличие от уравнений Навье-Стокса каждое из уравнений (5.37) включает три дополнительных члена, зависящих от пульсаций скорости. Представив каждый из этих членов в форме , перенесём в уравнениях Рейнольдса члены, зависящие от пульсаций, в левую часть. Ограничимся первым уравнением:

.

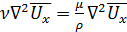
Наряду с членами, выражающими действие вязкостных напряжений,

,

уравнения Рейнольдса содержат члены, выражающие действие осреднённых турбулентных касательных напряжений , где - осреднённое произведение пульсационных скоростей и (, так как и зависимы друг от друга).

Полные касательные напряжения - сумма вязкостных и турбулентных:

(5.38)

причем турбулентные касательные напряжения обладают свойством взаимности (τ ijji) и выражаются как

. (А)

Выражение (А) получил О. Рейнольдс (в 1895 г.).

 


Поделиться с друзьями:

mylektsii.su - Мои Лекции - 2015-2026 год. (1.246 сек.)Все материалы представленные на сайте исключительно с целью ознакомления читателями и не преследуют коммерческих целей или нарушение авторских прав Пожаловаться на материал