Студопедия

Главная страница Случайная страница

КАТЕГОРИИ:

АвтомобилиАстрономияБиологияГеографияДом и садДругие языкиДругоеИнформатикаИсторияКультураЛитератураЛогикаМатематикаМедицинаМеталлургияМеханикаОбразованиеОхрана трудаПедагогикаПолитикаПравоПсихологияРелигияРиторикаСоциологияСпортСтроительствоТехнологияТуризмФизикаФилософияФинансыХимияЧерчениеЭкологияЭкономикаЭлектроника






Двухпоясные висячие системы. Основы стабилизации системы. Основы конструирования и расчета.






Двухпоясными называют конструкции покрытий, состоящие из двух систем нитей, расположенных параллельно или радиально. Одна из них является несущей и ее работа, по существу, не отличается от работы однопоясных систем. Другая система нитей, связанная с помощью тяжей или распорок с первой, обеспечивает стабилизацию покрытия за счет предварительного напряжения. Стабилизирующие нити путем натяжения несущих как бы имитируют действие временной нагрузки и при отсутствии таковой не позволяют несущим нитям вернуться в исходное положение, что дает возможность существенно снизить деформативность покрытия от временной нагрузки. Взаимное расположение несущих и стабилизирующих нитей может быть осуществлено по трем схемам:

При расположении несущей нити выше стабилизирующей по схеме А соединяющие нити элементы работают на растяжение, что дает возможность выполнить их из тросов или круглой стали. Однако при таком решении покрытия увеличивается строительная высота помещения и возникает необходимость организации двух опорных контуров отдельно для несущих и стабилизирующих нитей. Расположение нитей по схеме Б позволяет устроить один общий опорный контур и создает условия для организации наружного водоотвода. Вместе с тем элементы, соединяющие пояса в этой системе, работают на сжатие, что существенно усложняет их конструкцию и приводит к повышению металлоемкости. Схеме В присущи как преимущества, так и недостатки первых двух схем. Длина сжатых элементов здесь может быть уменьшена.

Предварительное напряжение покрытия можно создать путем натяжения нитей домкратами, как и в однопоясных системах, либо путем напряжения растяжек (распорок). В последнем случае напрягающие усилия будут незначительны и их можно реализовать без применения домкратов, используя винтовые муфты.

Настил укладывают непосредственно на нити, реже на прогоны. Панели и плиты покрытия (прямоугольной формы для систем с параллельными нитями и трапециевидной — с радиальными) не имеют принципиальных особенностей по сравнению с обычными панелями.

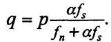
За счет предварительного напряжения системы растяжки (распорки) передают на несущую и стабилизирующую нити равномерно распределенную линейную нагрузку интенсивностью q0. Величину этой контактной нагрузки назначают так, чтобы при появлении временной нагрузки р, которая будет догружать несущую нить и разгружать стабилизирующую, последняя не выключалась из работы. Изменение распора стабилизирующей нити Δ Hs при загружении системы какой-нибудь нагрузкой р будет пропорционально изменению распора несущей нити Δ Hn от той же нагрузки, т.е.

Определим искомое изменение контактной нагрузки при загружении системы временной нагрузкой р:

Остаточное натяжение стабилизирующей нити Δ Ts ≈ Δ Hs принимают в пределах 20...30% от возможного изменения ее начального распора Δ Hs, т.е. остаточная Δ q и начальная q0 контактные нагрузки равны:

Нити рассчитывают независимо одна от другой: несущую нить рассчитывают по общим правилам на нагрузку (g+p + Δ q), а стабилизирующую — на нагрузку qo. Если ветровой отсос превышает собственный вес покрытия, то при расчете стабилизирующей нити следует учесть разницу (pw~g), где pw — линейная ветровая нагрузка на нить.

 


Поделиться с друзьями:

mylektsii.su - Мои Лекции - 2015-2026 год. (1.206 сек.)Все материалы представленные на сайте исключительно с целью ознакомления читателями и не преследуют коммерческих целей или нарушение авторских прав Пожаловаться на материал