Студопедия

Главная страница Случайная страница

КАТЕГОРИИ:

АвтомобилиАстрономияБиологияГеографияДом и садДругие языкиДругоеИнформатикаИсторияКультураЛитератураЛогикаМатематикаМедицинаМеталлургияМеханикаОбразованиеОхрана трудаПедагогикаПолитикаПравоПсихологияРелигияРиторикаСоциологияСпортСтроительствоТехнологияТуризмФизикаФилософияФинансыХимияЧерчениеЭкологияЭкономикаЭлектроника






Однопоясные висячие системы. Основы стабилизации системы. Основы конструирования и расчета.






+: полное использование несущей способности высокопрочных сталей и как следствие малый собственный вес и сравнительно низкая стоимость несущих конструкций (увеличение прочности стали опережает рост ее стоимости); разнообразие форм и архитектурная выразительность зданий; транспортабельность элементов висячих покрытий; удобство монтажа; высокая сейсмостойкость. -: повышенная деформативность; необходимость устройства дополнительных конструкций для восприятия распора; относительная трудность водоотвода.

Однопоясные системы представляющие собой параллельно или радиально расположенные нити, по которым уложены ограждающие конструкции. Последние должны быть достаточно тяжелыми для того, чтобы доли локальной снеговой нагрузки и ветрового отсоса были малы по сравнению с постоянной нагрузкой и не сильно влияли на кинематические перемещения. Обычно это железобетонные плиты. Для дополнительной стабилизации плиты до замоноличивания швов могут быть пригружены временной монтажной нагрузкой, которая после набора бетоном прочности снимается.

В висячих покрытиях распор нитей передают на опорные конструкции. Опорные конструкции должны обеспечивать размещение анкерных креплений канатов, воспринимать растягивающие усилия в нитях и передавать их на основание здания, создавать жесткий опорный контур покрытия для ограничения деформаций висячей системы. Рассмотрим основные схемы опорных конструкций: а)Распор может быть передан на фундаменты с помощью сжатых стоек и растянутых оттяжек. б)Распор может быть передан через балки, расположенные в плоскости покрытия, на торцевые диафрагмы в виде сплошных стен или контрфорсов.

Опорные конструкции:

а -с передачей распора на оттяжки; б -то же, на торцевые диафрагмы; в -то же, на криволин стены; г -то же, на рамы в пл-тях тросов; 1-тросы(тросовые фермы); 2-колонны; 3-жесткие балки; 4-торцевые диафрагмы; 5-контрофорсы; 6-поперечные рамы; 7-растянутые подкосы; 8-анкерные фундаменты; 9-оттяжки

Однопоясные системы висячих покрытий с параллельными нитями:

Висячие покрытия с параллельными нитями, как правило, применяют для прямоугольных в плане зданий.Несущие нити размещают с шагом 1, 5...3 м, их крепят к стальным или железобетонным балкам (бортовым элементам), образующим опорный контур. По нитям укладывают железобетонные или другие достаточно тяжелые плиты и замоноличивают швы. Провисание нитей назначают по архитектурным, конструктивным и экономическим соображениям в пределах 1/10...1/30 пролета.

Схемы однопоясных систем с парал нитями:

а -на прямоуг плане; б, в -на круглом плане; 1-несущие нити; 2-плиты кровли; 3-балки опорного контура; 4-опорное кольцо; 5-пилон; 6-арка

 

Последовательность расчета:

1)Найти нормативные и расчетные значения постоянной g и временной (снеговой) р нагрузок на 1 м2 покрытия. Назначьте вес пригрузов в пределах g+(0, 1...0, 3)/7. Постоянная нормативная нагрузка g„ д.б.не ниже максимального ветрового отсоса(составляющего не более 1, 5...2, 0 кН/м2. Вычислите расчетную линейную нагрузку на нить, которая при шаге нитей а равна q = [ g + (1, 1...1, 3 р)]*а.

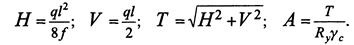
2)Задайтесь стрелкой провисания нити в середине пролета L — для нити в виде каната (1/15... 1/20)L, для нитей из проката — (1/20... 1/30)L. Найти распор, балочную реакцию, тяжение нити и требуемую площадь поперечного сечения:

 

 

По сортаменту подберите подходящий канат или стержень из арматурной стали. Найдите по формуле длину исходной заготовки, что обеспечит при действии расчетных нагрузок реализацию заданного значения стрелки провеса и тем самым справедливость расчетов по формуле:

 

 

Проверьте деформативность покрытия, для чего оцените приращение стрелки провеса при действии нормативной снеговой нагрузки. Относительное значение этой стрелки не должно превышать нормируемого L / 200.

Однопоясные системы с радиальными нитями:

Системы с радиальными нитями применяют в зданиях круглых, реже эллиптических в плане. Для крепления нитей предусматривают наружное и внутреннее опорные кольца. По нитям, расположенным по радиусам на одинаковых расстояниях, укладывают трапециевидные железобетонные плиты. Расстояния между нитями по периметру покрытия принимают кратным шагу колонн, поддерживающих покрытие. По конструктивной форме покрытия с радиальными нитями делят на вогнутые (а), шатровые (б) и спиральные.

В вогнутых покрытиях распор от нитей воспринимается кольцами, поэтому покрытие в целом является самоуравновешенной системой и на колонны передаются лишь вертикальные усилия от веса покрытия. Наружное кольцо в круглых зданиях при загружении всего покрытия равномерной нагрузкой работает только на сжатие и его рационально делать из железобетона.

В шатровом покрытии внутреннее кольцо воспринимает горизонтальные силы от распора в нитях и передает на среднюю стойку всю или значительную часть вертикальной нагрузки от покрытия. Кольцо обычно опирают на центральную железобетонную опору в виде толстостенной трубы большого диаметра или на куст стоек, связанных по высоте ригелями.

Наружные кольца, сжатые распорами нитей, обычно делают железобетонными с прямоугольным поперечным сечением. Для крепления канатов предусматривают закладные детали или каналы. Внутренние кольца, работающие на растяжение, делают стальными.

Расчет вогнутых покрытий не имеет принципиальных особенностей по сравнению с расчетом покрытий с параллельными нитями.



Поделиться с друзьями:

mylektsii.su - Мои Лекции - 2015-2026 год. (1.354 сек.)Все материалы представленные на сайте исключительно с целью ознакомления читателями и не преследуют коммерческих целей или нарушение авторских прав Пожаловаться на материал