Студопедия

Главная страница Случайная страница

КАТЕГОРИИ:

АвтомобилиАстрономияБиологияГеографияДом и садДругие языкиДругоеИнформатикаИсторияКультураЛитератураЛогикаМатематикаМедицинаМеталлургияМеханикаОбразованиеОхрана трудаПедагогикаПолитикаПравоПсихологияРелигияРиторикаСоциологияСпортСтроительствоТехнологияТуризмФизикаФилософияФинансыХимияЧерчениеЭкологияЭкономикаЭлектроника






Практическая работа № 6






 

ВЫБОРОЧНОЕ ИССЛЕДОВАНИЕ

Задача 1. Для изучения текучести кадров в зависимости от стажа работы на предприятиях пищевой промышленности региона в течение года было опрошено 400* человек (или 20 %), уволившихся по собственному желанию. Результаты обследования представлены следующими данными (табл. 13).

 

Таблица 13

 

Стаж работы, лет Число уволившихся, чел.
До 3 50*
3-5  
5-7  
7-9  
9-11  
Свыше 11  
ИТОГО 400*

 

Из числа уволившихся 100 человек не были удовлетворены режимом работы, условиями и оплатой труда. Определите с вероятностью 0, 954:

1. Пределы, в которых находится средний стаж работы уволив­шихся по собственному желанию.

2. Пределы удельного веса рабочих, уволившихся по причине неудовлетворенности режимом работы, условиями и оплатой труда.

Задача 2. В целях изучения норм расхода сырья проведена 2 % механическая выборка, в результате которой получено следующее распределение изделий по весу (табл. 14).

 

Таблица 14

 

Масса изделий, г Число изделий, шт.
До 2000  
2000 - 2050 15*
2050-2100  
2100-2150  
Выше 2150  
ИТОГО 100*

 

Известно также, что к стандартной продукции относятся изделия с весом от 2000 до 2150 г. По данным обследования определите:

1. С вероятностью 0, 997 возможные пределы среднего веса изделия во всей партии.

2. С вероятностью 0, 954 возможные пределы удельного веса стандартной продукции во всей партии.

Чтобы определить границы генеральной средней (), необходимо рассчитать выборочную среднюю () и ошибку выборочной средней ():

= .

Затем считаем дисперсию выборочной совокупности ():

.

Для удобства расчета составим табл. 15.

Таблица 15

Значения вариант, х Веса (частоты) вариант f x∙ f x- (x- )2 (x- )2∙ f
           
Итого          

Например, по условию задачи № 1 значение вариант - это соответствующий стаж работы, веса (частоты) вариант - число уволившихся.

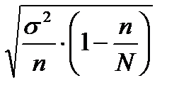
Предельная ошибка выборочной средней при бесповторном случайном отборе рассчитывается по формуле

= t ,

где t - коэффициент доверия, который зависит от значения вероятности и имеет фиксированное значение.

Для значения вероятности 0, 954 коэффициент доверия (t) равен 2; для вероятности 0, 997 коэффициент доверия (t) равен 3.

Для определения границы генеральной доли (p), необходимо определить выборочную долю w и ошибку выборочной :

p = w ± ,

где - выборочная доля, доля единиц, обладающих изучаемым признаком;

m - число единиц, обладающих изучаемым признаком;

n - численность выборки.


Поделиться с друзьями:

mylektsii.su - Мои Лекции - 2015-2026 год. (0.204 сек.)Все материалы представленные на сайте исключительно с целью ознакомления читателями и не преследуют коммерческих целей или нарушение авторских прав Пожаловаться на материал