Студопедия

Главная страница Случайная страница

КАТЕГОРИИ:

АвтомобилиАстрономияБиологияГеографияДом и садДругие языкиДругоеИнформатикаИсторияКультураЛитератураЛогикаМатематикаМедицинаМеталлургияМеханикаОбразованиеОхрана трудаПедагогикаПолитикаПравоПсихологияРелигияРиторикаСоциологияСпортСтроительствоТехнологияТуризмФизикаФилософияФинансыХимияЧерчениеЭкологияЭкономикаЭлектроника






Вивчення залежності опору реальних провідників від їх геометричних параметрів та питомих опорів матеріалів.






Мета: визначити питомий опір провідника і порівняти його з табличним значенням.

1. Короткий теоретичний опис

Німецький фізик Георг Ом (1787-1854) у 1826 році виявив, що відношення напруги U між кінцями металевого провідника, який є ділянкою електричного кола, до сили струму I в колі є величина постійна:

Цю величину R називають електричним опором провідника. Електричне опір вимірюється в Омах. Електричним опором 1 Ом має таку ділянку ланцюга, на якому при силі струму 1 А напруга дорівнює 1:

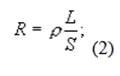
Досвід показує, що електричний опір провідника прямо пропорційний його довжині L і обернено пропорційно площі S поперечного перерізу провідника:

Постійний для даної речовини параметр r називається питомим електричним опором речовини. Питомий опір вимірюється в Ом? м.

2. Порядок виконання роботи

2.1. Зберіть на монтажному столі електричну схему, показану на рисунку:

Рис.1.

2.2. Виберіть матеріал провідника - нікель, встановіть значення довжини і площі поперечного перерізу:

L = 100 м; S = 0.1 мм2;

2.3. Визначте експериментально з допомогою мультиметра напруга на провіднику.

Для цього необхідно підключити паралельно провіднику мультиметр в режимі вимірювання постійної напруги, дотримуючись полярності.

Запишіть показання мультиметра.

2.4. Визначте експериментально з допомогою мультиметра силу струму в ланцюгу.

Увімкніть мультиметр в режимі вимірювання постійного струму послідовно в ланцюг, дотримуючись полярності.

Запишіть показання мультиметра.

2.5. Розрахуйте опір провідника за формулою (1).

2.6. Визначте питомий опір нікелю за формулою (2).

2.7. Виконайте пункти 2.3 - 2.6. змінюючи довжину, але, не змінюючи площу поперечного перерізу і матеріалу провідника.

2.8. Результати вимірювань занесіть в таблицю:


2.9. Знайдіть середнє значення питомого опору і порівняйте його з табличним значенням.

2.10. Виміряйте опір провідника безпосередньо за допомогою омметра. Порівняйте отримані результати.

Сформулюйте висновки по виконаній роботі.

3. Контрольні питання.

3.1. Що називають питомою опір провідника?

3.2. Як залежить опір провідника від його довжини?

3.3. За якою формулою можна розрахувати питомий опір провідника?

3.4. В яких одиницях вимірюється питомий опір провідника?

 


Поделиться с друзьями:

mylektsii.su - Мои Лекции - 2015-2026 год. (1.221 сек.)Все материалы представленные на сайте исключительно с целью ознакомления читателями и не преследуют коммерческих целей или нарушение авторских прав Пожаловаться на материал