Студопедия

Главная страница Случайная страница

КАТЕГОРИИ:

АвтомобилиАстрономияБиологияГеографияДом и садДругие языкиДругоеИнформатикаИсторияКультураЛитератураЛогикаМатематикаМедицинаМеталлургияМеханикаОбразованиеОхрана трудаПедагогикаПолитикаПравоПсихологияРелигияРиторикаСоциологияСпортСтроительствоТехнологияТуризмФизикаФилософияФинансыХимияЧерчениеЭкологияЭкономикаЭлектроника






Дослідження складних кіл постійного електричного струму






Мета: вивчити прийоми розрахунку складних електричних ланцюгів постійного струму.

1. Короткий теоретичний опис.

Складні ланцюги не завжди вдається представити у вигляді блоків послідовно і паралельно з'єднаних опорів. Як же знаходити опір таких ланцюгів? Іноді цю задачу можна істотно спростити, якщо схема володіє симетрією.

Розглянемо в якості прикладу такого ланцюга ділянку металевої сітки з однаковими опорами r:

Яке опір між точками А і В?

Уявити цю ланцюг у вигляді блоків послідовно і паралельно з'єднаних опорів не вдається. Як же бути?

Нехай до точок А і В підключено джерело струму.

Рис.2.

Подивимося на струми, які будуть текти через елементи металевої сітки.

Із симетрії ясно, що струми через елементи CO і DO повинні бути однакові і рівні струмів, поточним через елементи OF й OE. А раз так, то в точці О ланцюг можна розірвати, при цьому струми через елементи сітки не зміняться:

Рис.3.

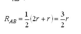
Останню схему можна представити у вигляді блоків послідовно і паралельно з'єднаних опорів:

Рис.4.

і визначити повний опір RAB ланцюга:

2. Порядок виконання роботи.

2.1. Зберіть на монтажному столі схему, показану на рис. 3. Передбачте вимикач, що з'єднує точки Про і Про'. Виберіть значення опорів однаковими і рівними 1 кОм.

2.2. Виміряйте за допомогою омметра опір між точками А і В при замкнутому і розімкнутому положенні вимикача. Поясніть результати вимірювань.

2.3. Підключіть батарейку з ЕРС 1.5 вольта і послідовно з нею амперметр між точками А і В зібраної Вами схеми. Виміряйте силу струму при розімкнутому і замкнутому ключі. Виміряйте напругу між точками О і О' при розімкнутому ключі і підключеної батарейці до точок А і В.

Точки схеми, напруга між якими дорівнює нулю, можна з'єднувати і таке з'єднання не змінить струмів, що течуть по елементам схеми. Іноді таке з'єднання може істотно спростити схему.

3. Контрольні питання.

3.1. Які властивості схеми можуть виявитися корисними при розрахунку складних схем?

3.2. Між якими точками схеми, зображеної на рис.3, напруга дорівнює нулю?

3.3. Дослідіть аналогічним способом опір між протилежними вершинами дротяного куба? Чому дорівнює опір між цими точками?

 

 


Поделиться с друзьями:

mylektsii.su - Мои Лекции - 2015-2026 год. (1.394 сек.)Все материалы представленные на сайте исключительно с целью ознакомления читателями и не преследуют коммерческих целей или нарушение авторских прав Пожаловаться на материал