Студопедия

Главная страница Случайная страница

КАТЕГОРИИ:

АвтомобилиАстрономияБиологияГеографияДом и садДругие языкиДругоеИнформатикаИсторияКультураЛитератураЛогикаМатематикаМедицинаМеталлургияМеханикаОбразованиеОхрана трудаПедагогикаПолитикаПравоПсихологияРелигияРиторикаСоциологияСпортСтроительствоТехнологияТуризмФизикаФилософияФинансыХимияЧерчениеЭкологияЭкономикаЭлектроника






Явище резонансу в колі змінного струму






Мета: вивчення усталених вимушених коливань в ланцюгах змінного струму. Дослідження явища резонансу.

1. Короткий теоретичний опис.

Розглянемо електричну схему на рис.1., в якій послідовно з'єднані конденсатор, резистор і котушка індуктивності підключені до генератора змінного напруги:

Рис.1.

У цьому ланцюзі виникають вимушені коливання сили струму і напруги на окремих її елементах. Амплітуда коливань сили струму в колі буде залежати від частоти w прикладеного постійного напруги генератора, так як опору реактивних елементів - конденсатора і котушки індуктивності залежать від частоти.

При низькій частоті w змінного струму ємнісний опір конденсатора буде дуже великим, тому сила струму в ланцюзі буде малий. У протилежному граничному випадку великої частоти w змінного струму буде великим індуктивний опір котушки, і сила струму в ланцюзі знову буде мала.

Повний опір Z ланцюга, зображеної на рис.1., визначається за формулою:

.

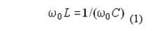
Ясно, що максимальна сила струму в ланцюзі буде відповідати такій частоті w 0 прикладеної змінної напруги, при якій індуктивний і ємнісний опори будуть однакові:

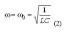
При рівності реактивних опорів котушки і конденсатора, амплітуди напруг на цих елементах також будуть однаковими UC = UL. Коливання напруги на котушці і конденсаторі протилежні по фазі, тому їх сума при виконанні умови (1) буде дорівнює нулю. В результаті напруга на активному опорі UR R буде дорівнює повному напрузі генератора U, а сила струму в колі досягає максимального значення . Циклічна частота w коливань сили струму і Е. Д. С. при цьому дорівнює

і збігається з циклічною частотою вільних незатухающих електромагнітних коливань в електричному контурі.

Явище різкого зростання амплітуди вимушених коливань сили струму в коливальному контурі при наближенні циклічної частоти w зовнішньої змінної Е. Р. С. до частоти w 0 вільних незатухающих коливань в контурі називається резонансом в електричної ланцюга змінного струму. Частота w = w 0 називається резонансною циклічною частотою. Резонансна циклічна частота не залежить від активного опору R. Графік залежності Im w називається резонансною кривою. Резонансні криві мають тим більше гострий максимум, чим менше активний опір R:

Рис.2.



2. Порядок виконання роботи.

2.1. Зберіть на монтажному столі схему, показану на рис. 1., попередньо вибравши значення параметрів елементів наступними:

Генератор: Uэф = 100 В; n = 10 Гц;

Резистор: R = 200 Ом; Р = 500 Вт;

Конденсатор: С = 10 мкФ; Uраб = 400 В;

Котушка: L = 1 Гн.

2.2. Змінюючи частоту генератора від 10 Гц до 100 Гц через 10 Гц, з допомогою вольтметрів виміряйте напругу на котушці, конденсатор, резистор і занесіть виміряні значення в таблицю. У наборі конструктора є лише два мультиметра, тому доведеться, змінюючи частоту генератора, провести вимірювання двічі - спочатку підключивши вольтметри до котушки і конденсатора, а другий раз - підключивши вольтметр до резистору.

2.3. Побудуйте графіки залежності напруги на резисторі, конденсаторі та котушці залежно від частоти генератора.

2.4. Розрахуйте за формулою (2) частоту резонансу і порівняйте отримане значення з експериментальним.

2.5. Змініть параметри елементів і повторіть вимірювання і розрахунки.

2.6. Спробуйте пояснити експериментальні графіки залежності напруги на елементах від частоти змінного струму в ланцюзі.

Контрольні питання.

3.1. Як залежать реактивні опору конденсатора і котушки індуктивності від частоти змінного струму?

3.2. Чому сила струму в послідовному ланцюзі з конденсатором, котушкою і резистором має максимум при певній частоті і прагне до нуля при дуже малою та дуже великій частоті.

3.3. Чому при резонансі напруга на резисторі дорівнює напрузі джерела змінного струму?

3.4. При якому умови наступає резонанс у послідовному колі змінного струму?

3.5. Як явище резонансу використовується в побуті, техніці, науці?


Поделиться с друзьями:

mylektsii.su - Мои Лекции - 2015-2026 год. (1.356 сек.)Все материалы представленные на сайте исключительно с целью ознакомления читателями и не преследуют коммерческих целей или нарушение авторских прав Пожаловаться на материал