Студопедия

Главная страница Случайная страница

КАТЕГОРИИ:

АвтомобилиАстрономияБиологияГеографияДом и садДругие языкиДругоеИнформатикаИсторияКультураЛитератураЛогикаМатематикаМедицинаМеталлургияМеханикаОбразованиеОхрана трудаПедагогикаПолитикаПравоПсихологияРелигияРиторикаСоциологияСпортСтроительствоТехнологияТуризмФизикаФилософияФинансыХимияЧерчениеЭкологияЭкономикаЭлектроника






Елементи ланцюгів змінного струму. Ємнісне і індуктивне опору, їх залежність від частоти змінного струму і параметрів елементів






Мета: вивчити залежність ємнісного та індуктивного опорів від частоти змінного струму і параметрів елементів.

Короткий теоретичний опис

У ланцюзі змінного струму крім резисторів можуть використовуватися котушки індуктивності і конденсатори. Для постійного струму котушка індуктивності має тільки активний опір, яке зазвичай невелика (якщо котушка не містить велику кількість витків). Конденсатор ж у ланцюзі постійного струму є " розрив" (дуже велика активний опір). Для змінного струму ці елементи володіють специфічним реактивним опором, що залежить як від номіналів деталей, так і від частоти змінного струму, що протікає через котушку і конденсатор.

1.1. Котушка в колі змінного струму.

Розглянемо, що відбувається в ланцюзі, що містить резистор та котушку індуктивності. Коливання сили струму, що протікає через котушку:

викликають падіння напруги на кінцях котушки відповідно до закону самоіндукції і правилом Ленца:

тобто коливання напруги випереджають по фазі коливання сили струму на p /2. Твір w LIm є амплітудою коливання напруги:

Добуток циклічної частоти на індуктивність називають індуктивним опором котушки:

тому зв'язок між амплітудами напруги і струму на котушці збігається за формою з законом Ома для ділянки кола постійного струму:

Як видно з виразу (1), індуктивний опір не є постійною величиною для даної котушки, а пропорційно частоті змінного струму через котушку. Тому амплітуда коливань сили струму Im в провіднику з індуктивністю L при постійній амплітуді напруги UL убуває обернено пропорційно частоті змінного струму:

1.2. Конденсатор в колі змінного струму.

При зміні напруги на обкладках конденсатора за гармонійним законом:

заряд q на його обкладках змінюється також за гармонійним законом:

.

Електричний струм в ланцюзі виникає в результаті зміни заряду конденсатора, тому коливання сили струму в ланцюзі будуть відбуватися за законом:

Видно, що коливання напруги на конденсаторі відстають по фазі від коливань сили струму на p /2. Твір w CUm є амплітудою коливань сили струму:

Аналогічно тому, як було зроблено з індуктивністю, введемо поняття ємнісного опору конденсатора:

Для конденсатора отримуємо співвідношення, аналогічне законом Ома:

Формули (2) і (4) справедливі і для ефективних значень струму і напруги.
Порядок виконання роботи
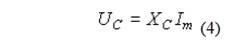
Зберіть ланцюг показану на малюнку 1.
Встановіть наступні значення параметрів:

Генератор - напруга (ефективне) 100 В, частота 100 Гц;

Конденсатор - робоча напруга 400 В, ємність 10 мкФ;

Резистор - робоча потужність 500 Вт, опір 100 Ом.
Змінюючи ємність конденсатора від 5 до 50 мкФ (через 5 мкФ), запишіть показання вольтметрів (напруга на конденсаторі і на резисторі).
Розрахуйте ефективний значення струмів, що течуть в ланцюзі, в залежності від значення ємності конденсатора (для цього треба напруга на резисторі розділити на його опір).
Визначте значення ємнісних опорів конденсатора для відповідних значень його ємності і порівняйте їх з розрахованими за формулою (3).
Встановіть ємність конденсатора 10 мкФ. Змінюючи частоту генератора від 20 до 100 Гц через 10 Гц, повторіть вимірювання і розрахунки ємнісного опору в залежності від частоти змінного струму.
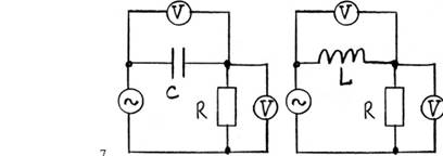
Зберіть ланцюг показану на малюнку 2.

Рис.1. Рис.2.
Встановіть наступні значення параметрів:

Генератор - напруга (ефективне) 100 В, частота 100 Гц;

Котушка - індуктивність 50 мГн;

Резистор - робоча потужність 500 Вт, опір 100 Ом.
Змінюючи індуктивність котушки від 50 до 500 мГн (через 50 мГн), запишіть показання вольтметрів (напруга на котушці і на резисторі).
Розрахуйте ефективний значення струмів, що течуть в ланцюзі, в залежності від значення індуктивності котушки (для цього треба напруга на резисторі розділити на його опір).
Визначте індуктивні опору котушки для відповідних значень її індуктивності і порівняйте їх з розрахованими за формулою (1).
Встановіть індуктивність котушки 100 мГн. Змінюючи частоту генератора від 20 до 100 Гц через 10 Гц, повторіть вимірювання і розрахунки індуктивного опору в залежності від частоти змінного струму..
Побудуйте графіки залежностей індуктивного і ємнісного опорів від частоти змінного струму.

3. Контрольні питання.

3.1. Чому ємнісне опір зменшується зі збільшенням частоти змінного струм а, індуктивний опір збільшується?

3.2. Які різниці фаз між струмом і напругою для котушки і конденсатора?

3.3. В яких одиницях вимірюються ємнісне і індуктивне опору?

3.4. Як записується аналог закону Ома для максимальних (ефективних) значень струму і напруги для реактивних елементів - конденсатора і котушки індуктивності?

 


Поделиться с друзьями:

mylektsii.su - Мои Лекции - 2015-2026 год. (0.623 сек.)Все материалы представленные на сайте исключительно с целью ознакомления читателями и не преследуют коммерческих целей или нарушение авторских прав Пожаловаться на материал