Студопедия

Главная страница Случайная страница

КАТЕГОРИИ:

АвтомобилиАстрономияБиологияГеографияДом и садДругие языкиДругоеИнформатикаИсторияКультураЛитератураЛогикаМатематикаМедицинаМеталлургияМеханикаОбразованиеОхрана трудаПедагогикаПолитикаПравоПсихологияРелигияРиторикаСоциологияСпортСтроительствоТехнологияТуризмФизикаФилософияФинансыХимияЧерчениеЭкологияЭкономикаЭлектроника






Изготовления партии деталей






Длительность производственного цикла Тц (сут) включает время, непосредственно затрачиваемое на выполнение всех технологических операций обработки партии деталей, осуществление операций технического контроля, транспортировку деталей и межоперационное пролеживание.

 

(13)

где Ттех - время выполнения технологических операций (продолжительность технологического цикла), сут;

т - количество видов оборудования;

tмо - межоперационное время между двумя смежными операциями;

Те - длительность естественных процессов, принимается равной нулю.

Межоперационное время – это время после окончания предыдущей операции до момента освобождения рабочего места следующей операции, в течение которого выполняются контроль­ные операции, транспортировка деталей к рабочему месту для выполнения следующей операции.

В курсовой работе выполняется укрупненный расчет tмопо каждойпаре смежных операций по формуле К. Г. Татевосова:

 

(14)

где - среднее значение коэффициента загрузки рабочего места деталеоперацией.


Эта формула позволяет определить среднее межоперационное время в часах для группы однородных деталей, которые обрабатываются на про­ектируемом участке.

Величина определяется по формуле:

(15)

где КДj - коэффициент загрузки рабочего места на i -той операции;

KДj+1 - коэффициент загрузки на последующей операции.

Результаты расчетов заносятся в таблицу 9.

Таблица 9 - Расчет межоперационного времени

Номер детали Наименование операции Коэффициент загрузки, КДj Средне значение коэффициента загрузки, tмо , ч tмо , сут
           

При малом значении значение t мо будет отрицательным. В этом случае необходимо применить параллельно-последовательный вид движе­ния деталей на участке. При положительном значении tмо применяется последовательный вид движения.

При расчете длительности производст­венного цикла необходимо межоперационное время, выраженное в часах, пересчитать в сутки.

Время на выполнение технологических операций при последовательном движении деталей (Ттех) определяется по формуле:

 

(16)

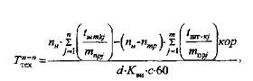
При параллельно-последовательном движении длительность технологического цикла определяется по формуле:

 

(17)

Где - штучно-калькуляционное время обработки детали на -м оборудовании, определяемое по формуле:

(18)

где - подготовительно-заключительное время (прил. 4);

- раз­мер передаточной (транспортной) партии, устанавливаемый в работе таким образом, чтобы размер нормативной партии был кратен полу­ченной величине.

Например, при = 150 ед. размер может быть равным 75, 50, 30 и т.д. Рекомендуемая в работе величина передаточной партии должна быть не менее 15 % от размера нормативной партии.

 

- сумма наименьших отношений штучно-калькуляционных норм времени к принятому числу рабочих мест , определяемых по каждой паре смежных операций

- коэффициент, показывающий соотношение рабочих и календарных дней в году.

m – число операций в технологическом процессе обработки данной детали.

Результаты расчетов оформляются в таблице 10.

 

Таблица 10 – Расчет штучно-калькуляционного времени обработки деталей

 

№ детали операция , мин. , мин. , мин.
                 
                     
                     
                     
               

После определения длительности цикла необходимо произвести расчет цикловых заделов по детали каждого наименования.

(19)

Рассчитанные календарно-плановые нормативы сводятся в таблицу 11.

 

Таблица 11- Календарно-плановые нормативы оперативно-производственного планирования цеха

 

Номер детали Программа запуска, шт. Размер партии, шт.     Периодичность запуска, сут     Длительность цикла, сут Тц     Задел, шт.    
месяц средне-суточн.
             
             

 


Поделиться с друзьями:

mylektsii.su - Мои Лекции - 2015-2026 год. (1.211 сек.)Все материалы представленные на сайте исключительно с целью ознакомления читателями и не преследуют коммерческих целей или нарушение авторских прав Пожаловаться на материал