Студопедия

Главная страница Случайная страница

КАТЕГОРИИ:

АвтомобилиАстрономияБиологияГеографияДом и садДругие языкиДругоеИнформатикаИсторияКультураЛитератураЛогикаМатематикаМедицинаМеталлургияМеханикаОбразованиеОхрана трудаПедагогикаПолитикаПравоПсихологияРелигияРиторикаСоциологияСпортСтроительствоТехнологияТуризмФизикаФилософияФинансыХимияЧерчениеЭкологияЭкономикаЭлектроника






Определение сметы затрат на производство и реализацию продукции






 

Смета затрат является важным документом, определяющим эффективность работы предприятия. Она разрабатывается для определения суммарных расходов на производство и реализацию продукции. По размеру затрат, отражаемых в смете определяют прибыль предприятия и размер накладных расходов.

Смета затрат может быть рассчитана в двух разрезах:

- По экономическим элементам;

- По статьям расходов.

В курсовой работе смета затрат сначала разрабатывается по статьям расходов, а затем сводится по элементам.

Себестоимость продукции складывается из затрат, которые разнородны по своему составу и экономическому назначению, роли в изготовлении и реализации продукции. Это вызывает необходимость их классификации. Классификация затрат позволяет организовать более правильное планирование, учет и анализ затрат и на этой основе выявить резервы снижения себестоимости продукции. Затраты, образующие себестоимость продукции (работ, услуг), в соответствии с их экономическим содержанием (что и в каком объеме вошло в себестоимость) группируются по экономическим элементам.

Смета затрат включает следующие статьи:

- основные материалы;

- реализуемые отходы;

- основные материалы за вычетом отходов;

- основная заработная плата производственных рабочих;

- дополнительная заработная плата производственных рабочих;

- отчисления на социальные цели производственных рабочих;

- накладные расходы.

Итак, первые шесть статей относятся к прямым затратам. Отличительная их черта, что они могут быть непосредственно отнесены на изготовляемую продукцию и потому рассчитываются как на весь объем производимой продукции, так и на единицу отдельных видов продукции.

Остальные расходы (неучтенные в прямых затратах) образуют косвенные расходы. Эти расходы относятся на весь объем производимой продукции. Отнесение их на конкретную продукцию может быть осуществлено лишь косвенным путем.

Как известно к косвенным расходам относятся общепроизводственные, общехозяйственные и коммерческие расходы. На малых предприятиях эти расходы могут быть объединены под названием накладные расходы.

 

7.1. Основные материалы.

 

Эти затраты рассчитываются на весь объем и на единицу производимой продукции :

 

а)

б) ,

 

где - норма расхода материала, кг./изд.;

- цена материала, руб./кг.;

- годовой объем производства, ед./год.

 

7.2.Реализуемые отходы.

 

а) на весь объем:

 

 

б) на единицу продукции:

 

,

 

где - чистый вес изделия, кг/изд.;

- цена реализуемых отходов, руб./кг принимается приблизительно 10% от цены основных материалов.

 

7.3. Стоимость материалов за вычетом отходов.

 

а)

 

б)

 

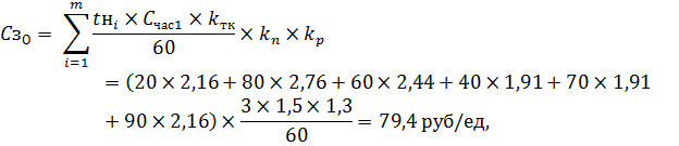
7.4. Основная заработная плата производственных рабочих.

 

Основная заработная плата предусматривает оплату труда за проработанное время. Рассчитывается она в зависимости от формы и системы оплаты труда. В курсовой работе предусматривается сдельно-премиальная оплата труда. В соответствии с этой системой основная заработная плата рассчитывается по формуле:

 

где - норма времени на выполнение i-ой операции, мин./ед.;

- часовая ставка 1-го разряда, руб./час;

- тарифный коэффициент соответствующего разряда;

- коэффициент, учитывающий премии и доплаты ();

Изм.
Лист
№ докум.
Подпись
Дата
Лист
 
   
- районный коэффициент ().

Часовая ставка 1-го разряда () ориентировочно можно быть принята равной 3.0 руб./час.

Тарифный коэффициент соответствующего разряда берется из таблицы 3:

 

Таблица 3

Тарифные коэффициенты

 

Разряд          
1, 91 2, 16 2, 44 2, 76 3, 12

 

Основная заработная плата производственных рабочих на годовой объем производства определяется путем умножения величины на :

7.5 Дополнительная заработная плата производственных рабочих.

 

Рассчитывается на единицу и весь объем производимой продукции:

 

а)

б)

где коэффициент, учитывающий выплаты по дополнительной заработной плате (кдоп=0, 1).

 

7.6. Отчисления на социальные цели.

 

Отчисления на социальные цели включают в себя отчисления в следующие фонды:

- пенсионный;

- обязательного медицинского страхования;

- социального страхования;

- занятости населения.

В общей сумме эти отчисления определяются в размере 35, 6% от основной и дополнительной заработной платы:

 

а)

б)

7.7. Накладные расходы.

 

Накладные расходы включают расходы по содержанию и эксплуатации оборудования, управлению предприятием, по реализации продукции и пр., которые не могут быть непосредственно отнесены на ту или иную продукцию, изготовляемую на предприятии.

В первом приближении накладные расходы включают в себя следующие затраты:

- амортизация основных фондов предприятия;

- амортизация нематериальных активов;

- арендная плата за помещение;

- отчисления в ремонтный фонд;

- вспомогательные материалы на содержание оборудования;

- затраты на силовую электроэнергию;

- износ инструмента;

- заработная плата вспомогательных рабочих;

- отчисления на социальные цели вспомогательных рабочих;

- заработная плата административно-управленческого персонала;

- отчисления на социальные цели административно-управленческого персонала;

- командировочные расходы;

- представительские расходы;

- на рекламу;

- налоги за пользование автомобильными дорогами;

- плата за кредит;

- прочие расходы.

 

 

7.7.1. Амортизация основных средств.

где -суммарная стоимость основных средств (технологическое и вспомогательное оборудование, производственный и хозяйственный инвентарь);

- норма амортизационных отчислений (15%).

 

7.7.2. Амортизация нематериальных активов.

 

где - стоимость нематериальных активов;

- срок списания нематериальных активов (Тп=5 лет).

 

7.7.3. Арендная плата.

 

где - суммарная арендуемая площадь здания, включая производственную и под офис;

- арендная плата за , руб./м (за месяц 200руб./м ).

 

7.7.4. Отчисления в ремонтный фонд.

где - стоимость оборудования (технологического и вспомогательного);

- коэффициент, учитывающий отчисления в ремонтный фонд (крем=0, 05).

 

7.7.5. Вспомогательные материалы на содержание оборудования.

 

где - коэффициент, учитывающий затраты на вспомогательные материалы (квм=0, 02).

 

7.7.6. Затраты на силовую электроэнергию.

 

Эти затраты приближенно можно рассчитать по следующей формуле:

 

где - количество операций технологического процесса;

- установленная мощность электродвигателей оборудования, занятого выполнением i-ой операции (принимается соответственно по операциям: 5; 7; 6; 8; 4; 7 квт);

- годовой фонд времени работы оборудования, час/год;

- коэффициент, учитывающий загрузку оборудования по соответствующей операции;

- коэффициент, учитывающий удельный вес основного времени в норме времени на выполнение операции (в среднем по каждой операции );

- коэффициент, учитывающий использование электродвигателей по мощности (по каждой операции k N= 0, 6);

- цена электроэнергии за 1 кВт/час (0, 8 руб.квт/час).

 

7.7.7. Износ инструмента.

 

где - норма времени на выполнение i-ой операции;

- средняя стойкость инструмента, мин/срок службы (Tcт=300 минут)

средняя цена единицы инструмента (Цин=20 руб./ед.);

- годовой объем производства, ед./год.

 

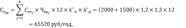
7.7.8. Заработная плата вспомогательных рабочих.

 

где - количество профессий вспомогательных рабочих;

- численность рабочих по соответствующей профессии;

- месячная тарифная ставка рабочего соответствующего ряда;

- коэффициент, учитывающий премии и доплаты для вспомогательных рабочих ( =1, 2;

- районный коэффициент ( =1, 3).

 

7.7.9. Отчисления на социальные цели вспомогательных рабочих.

 

7.7.10. Заработная плата административно-управленческого персонала служащих.

где - месячный оклад работника административно-управленческого персонала;

- численность работников административно-управленческого персонала по соответствующей должности (в курсовой работе по каждой должности принимается по одному человеку).

 

7.7.11. Отчисления на соц. Цели административно-управленческого персонала.

 

 

7.7.12. Командировочные расходы.

 

Эти расходы можно принять приблизительно 10 % от заработной платы

административно-управленческого персонала.

 

7.7.13. Представительские расходы.

 

Эти расходы ориентировочно можно принять на уровне не более 0, 2 % от стоимости реализованной продукции.

где - выручка от реализации продукции.

 

7.7.14. Затраты на рекламу.

 

Эти расходы ориентировочно можно принять на уровне не более 1% от стоимости реализованной продукции.

 

7.7.15. Налоги на пользование автомобильными дорогами.

 

 

7.7.16. Плата за краткосрочный кредит.

 

В себестоимости продукции отражается плата за кредит в пределах ставки ЦБ (центрального банка) плюс 3%. Общая плата за кредит принимается на 5-10% больше указанного предела, действующего на момент выполнения курсовой работы. Таким образом, себестоимости продукции должно быть отражено:

 

где - сумма кредита;

- годовая ставка процента за кредит (в пределах ставки ЦБ плюс 3%);

- срок взятия кредита ( месяц).

 

7.7.17. Прочие расходы.

 

Прочие расходы включают в себя услуги сторонних организаций, оплату услуг связи, банка, канцелярские расходы и т. д. В курсовой работе эти расходы можно принять в размере 10% от суммы накладных расходов, рассчитанных выше.

 

На основе выполненных расчетов составляется сводная смета накладных расходов, с подразделением затрат на переменные и постоянные и отнесением их к соответствующему элементу.

 

Смета накладных расходов

Таблица 4

 

Наименование затрат Сумма тыс. руб. В том числе Группировка затрат по элементам
Постоянные расходы Переменные расходы
1. Амортизация основных средств       амортизация
2. Амортизация нематериальных активов       прочие расходы
3. Арендная плата       прочие расходы
4. Отчисления в ремонтный фонд       прочие расходы
5. Вспомогательные материалы       материальные затраты
6. Затраты на силовую энергию 22827, 36   22827, 36 материальные затраты
7. Износ инструмента 30399, 6   30399, 6 материальные затраты
8. Заработная плата вспомогательных рабочих       оплата труда
9. Отчисления на соц. цели вспомогательных рабочих 23325, 1 23325, 1   отчисления на соц. цели
10. Налоги на пользование автомобильными дорогами       прочие расходы
11. Заработная плата адм.-упр. персонала       оплата труда
12. Отчисления на соц. цели адм.-упр. персонала 66643, 2 66643, 2   отчисления на соц. цели
13. Командировочные расходы       прочие расходы
14. Представительские расходы 99471, 6 99471, 6   прочие расходы
15. Реклама       прочие расходы
16. Краткосрочный кредит 16741, 8 16741, 8   прочие расходы
17. Прочие расходы 204122, 3 153091, 73 (75%) 51030, 575 (25%) прочие расходы
  Итого   1633714, 4 560598, 96  

 

Любая фирма стремится получить максимум прибыли при минимальных совокупных затратах. Естественно, что минимальный объем совокупных затрат меняется в зависимости от объема производства.

Однако составляющие совокупных затрат по-разному реагируют на изменение объема производства. Это относится, в первую очередь, к расходам на оплату труда обслуживающего персонала и оплату труда производственных рабочих. Поэтому совокупные общие затраты делятся на постоянные и переменные.

Переменные изменяются с изменением объема производства, а постоянные в краткосрочном плане остаются неизменными.

 

 

 


Поделиться с друзьями:

mylektsii.su - Мои Лекции - 2015-2026 год. (0.778 сек.)Все материалы представленные на сайте исключительно с целью ознакомления читателями и не преследуют коммерческих целей или нарушение авторских прав Пожаловаться на материал