Студопедия

Главная страница Случайная страница

КАТЕГОРИИ:

АвтомобилиАстрономияБиологияГеографияДом и садДругие языкиДругоеИнформатикаИсторияКультураЛитератураЛогикаМатематикаМедицинаМеталлургияМеханикаОбразованиеОхрана трудаПедагогикаПолитикаПравоПсихологияРелигияРиторикаСоциологияСпортСтроительствоТехнологияТуризмФизикаФилософияФинансыХимияЧерчениеЭкологияЭкономикаЭлектроника






Основы вариационного исчисления






2.1. Вводные замечания.

В вариационном исчислении нет деления функций на управляющие и функции состояния. Вводится семейство функций из определенного класса. Это могут быть кусочно-непрерывные, непрерывные, непрерывно-дифференцируемые конечное число раз функции, определенные на отрезке . На множестве этих функций определяется функционал .

Для определенности будем предполагать, что функционал задан в форме Лагранжа, а подынтегральная функция содержит, кроме функций , и их производные, т.е. .

Функция доставляет минимум функционалу , если для любой другой функции выполняется неравенство

.

Если выполняются неравенство противоположного знака, доставляет максимум функционалу .

Функция , доставляющая минимум или максимум (экстремум) функционалу , называется экстремалью.

Следует отметить, что минимум или максимум функционала может отыскивается среди всех кривых сравнения из некоторой области или среди, так называемых, близких кривых сравнения.

Если минимум (максимум) достигается среди близких кривых сравнения, он называется относительным. Если же он отыскивается среди всех кривых сравнения, то – абсолютным. При этом мера близости для разных классов функций сравнения задается по-разному.

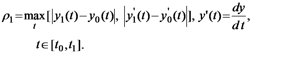
Мерой близости двух непрерывных или кусочно-непрерывных кривых и на отрезке может быть величина

(1.7)

Такая мера называется расстоянием нулевого порядка. Если , где - достаточное малое положительное число, то говорят, что находится в - окрестности функции . Расстоянием первого порядка между двумя непрерывно-дифференцируемыми функциями и на отрезке называется величина

(1.8)

Понятно, что из близости функций по мере следует их близость и по мере . Обратное же не имеет место.

Если - окрестность определяется мерой , то говорят о сильной - окрестности, если же – мерой - слабой - окрестности.

Аналогично могут быть введенные понятия расстояний более высокого порядка.

 

2.2. Необходимое условие относительного экстремума.

Обозначим через искомую экстремаль. Тогда любую другую функцию из рассматриваемого класса можно представить в виде , где - вариация функции. При этом, если является малой в смысле некоторой меры, то говорят о близких кривых сравнения.

Понятно, что

,

тогда условия

(1.9)

будут необходимыми и достаточными условиями минимума и максимума, соответственно.

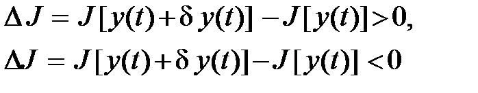
Однако, эти условия не конструктивны. Для получения более эффективных условий вводится понятие первой вариации функционала. Для этого представим приращение функционала в виде

, (1.10)

где - линейная относительно часть приращения, содержит величины более высокого порядка малости, чем , т.е. при .

Тогда при достаточно малых знак приращения будет определяться знаком первой вариации .

Из выражения (1.10) следует, что необходимым условием минимума или максимума (экстремума) функционала является условие

(1.11)

Для доказательства предположим, что кривая доставляет минимум (максимум) функционалу . Это означает, что при любых . Если теперь предположить, что условие (1.11) неверно, то в силу линейности от первая вариация , а значит и будут менять знак при смене знака , что противоречит условию и доказывает справедливость условия (1.11).

Условие (1.11) еще называют условием стационарности. Поскольку оно является необходимым условием экстремума, ему должны удовлетворять все кривые, доставляющие и минимум, и максимум функционалу , т.е. это условие позволяет выделить все множество функций, среди которых находится и искомое, если оно существует. Используя условие (1.11), можно получить уравнения, которым с необходимостью должны удовлетворять искомые экстремали.

 

2.3. Основная лемма вариационного исчисления.

Лемма. Пусть - заданная непрерывная функция, удовлетворяющая уравнению

, (1.12)

где - любая непрерывная функция, то .

h (t)
Ф(t)
Ф h
t 0
t 1
Рис. 5
Доказательство. Предположим, что условие не выполняется и существует некоторая точка , в которой . Для определенности положим, что . Тогда в силу непрерывности функции существует в окрестности точки некоторый интервал , где .

Поскольку - любая непрерывная функция, выберем ее следующим образом


Поделиться с друзьями:

mylektsii.su - Мои Лекции - 2015-2026 год. (0.776 сек.)Все материалы представленные на сайте исключительно с целью ознакомления читателями и не преследуют коммерческих целей или нарушение авторских прав Пожаловаться на материал