Студопедия

Главная страница Случайная страница

КАТЕГОРИИ:

АвтомобилиАстрономияБиологияГеографияДом и садДругие языкиДругоеИнформатикаИсторияКультураЛитератураЛогикаМатематикаМедицинаМеталлургияМеханикаОбразованиеОхрана трудаПедагогикаПолитикаПравоПсихологияРелигияРиторикаСоциологияСпортСтроительствоТехнологияТуризмФизикаФилософияФинансыХимияЧерчениеЭкологияЭкономикаЭлектроника






Принцип максимума Понтрягина.






 

3.1. Вводные замечания.

Рассмотрим исходную постановку задачи оптимального управления, заключающуюся в поиске такой управляющей функции и соответствующей траектории , удовлетворяющей системе (1.1), (1.2), на которых некоторый функционал достигает минимального значения.

Функции в системе (1.1) предполагаются непрерывными по и дважды непрерывно дифференцируемыми по остальным аргументам.

Оптимальное управление отыскивается в классе кусочно-непрерывных функций с конечным числом точек разрыва, со значением из некоторой замкнутой или открытой выпуклой области – мерного пространства. При этом фазовые координаты в точках разрыва управления остаются непрерывными. В качестве критерия оптимальности рассматривается функционал Майера

, (3.1)

где – заданное конечное время управления. В рассматриваемом случае начальное состояние считается заданным, а - свободным, т.е. рассматривается задача со свободным правым концом.

Если в вариационном исчислении минимум отыскивается среди близких кривых сравнения ( - малые по мере или ), то в принципе максимума вариации управления могут быть конечными, но из заданной области.

t 0
t 1
Рис. 10
Вводится понятие игольчатой вариации

здесь не малые, но влияние на управляемое движение малое, т.е. , обусловленное воздействием мало в силу малости времени его воздействия . Малым будет и приращение функционала. Использование игольчатых вариаций позволяет получить более сильные условия - необходимые условия абсолютного минимума (максимума).

 

3.2. Формулировка принципа максимума.

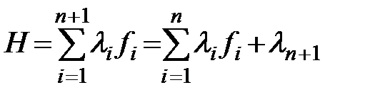
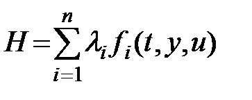
Вводится функция

, (3.2)

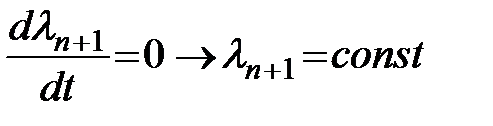
где - правые части уравнений движения (1.1), - множители Лагранжа, удовлетворяющие уравнениям

(3.3)

с граничными условиями

(3.4)

Исходная система (1.1), (1.2) может быть представлена в виде

(3.5)

, (3.6)

- заданные величины.

В соответствие с (3.1) – (3.5) функция при фиксированных является функцией управления и ее можно исследовать на минимум или максимум.

Будем говорить, что удовлетворяет условию максимума функции если при фиксированных для любого времени выполняется условие

(3.7)

Тогда справедливо следующее утверждение.

Если управление доставляет минимум (максимум) функционалу (3.1), то оно удовлетворяет условию максимума (минимума) (3.7), где определяются из системы уравнений (3.3), (3.4), (3.5), (3.6) при управлении , найденном из условия максимума (3.7).

Из формулировки принципа максимума следует, что принцип максимума является необходимым условием абсолютного минимума. Принцип максимума сформулирован академиком Понтрягиным Л.С.

Принцип максимума позволяет получить замкнутую систему уравнений (3.2) – (3.7) для определения оптимального управления и соответствующего ему решения.

Следует отметить, что в соответствие с принципом максимума задача минимизации функционала сводится к задаче максимизации функции и решению краевой задачи.

Замечание 1. В том случае, когда время не фиксировано, полученная система соотношений принципа максимума должна быть дополнена условием трансверсальности, которое имеет вид

,

которое используется для определения оптимального времени процесса .

Замечание 2. В общем случае принцип максимума дает необходимые условия абсолютного минимума (максимума), можно доказать, что в случае линейных систем с линейным или квадратичным функционалом принцип максимума дает и достаточные условия оптимальности.

Замечание 3. В том случае, когда конечные значения заданы (правый конец несвободен) допустимыми являются не все возможные функции , а только те из них, которые приводят траекторию в заданное состояние. Поэтому из доказательства принципа максимума со свободным правым концом не следует его справедливость для систем с фиксированными концами. Тем не менее оказывается, что условия принципа максимума выполняются и в этом случае, за исключением граничных условий для множителей Лагранжа.

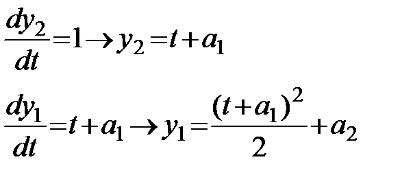
Пример 1. Пусть уравнение движения имеет вид

(3.8)

и минимизируется

где - некоторое заданное время. В данном случае

,

(3.9)

Из условия стационарности

,

следует

. (3.10)

Таким образом, решение сводится к краевой задаче (3.8), (3.9), (3.10) для определения , и соответствующих . Окончательное суждение об оптимальности найденного управления можно сделать по знаку второй производной . В нашем случае

.

Если , найденное управление доставляет минимум .

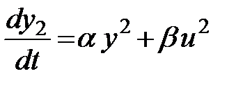
Пример 2. Пусть уравнение движения имеет вид

- задано

.

Вводя новую переменную

перейдем от задачи Лагранжа к задаче Майера

.

В этом случае

,

где и удовлетворяют системе управлений с граничными условиями

;

.

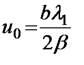
Оптимальное управление находится из условия максимума функции по . Из условия

находим

Так как , то , а - находится из краевой задачи.

При этом

, значит найденное управление доставляет максимум функции и дает решение поставленной задачи.

Пример 3. Пусть уравнение движения имеет вид

- задано требуется найти управление , минимизирующее при условии, что - задано, а управление ограничено .

В этом случае . Тогда из условия максимума функции по следует, что

т.е. .

Для определения имеем уравнение

.

Пусть –постоянная положительная величина.

Тогда . Из условия , следует . Тогда .

Так как отрицательна, то

т.е. не влияет на величину оптимального управления, а влияет только на знак его.

 

3.3. Задача на максимальное быстродействие.

В системе

(3.11)

требуется найти управление, переводящее систему из одного (заданного) состояния в другое (конечное) состояние за минимальное время , т.е. в данном случае

Рассмотрим решение этой задачи на основе принципа максимума. Для определенности положим .

В соответствии с принципом максимума функционал качества необходимо представить в форме Майера: .

Для этого введем переменную с помощью уравнения

Тогда .

Введем функцию , где множители Лагранжа удовлетворяют уравнению с неизвестными начальными и конечными значениями.

Из структуры видно, что

.

Тогда дальнейшее исследование функции сводится к исследованию .

Дальнейшее решение проведем для системы, описывающейся уравнением

. (3.12)

или

(3.13)

Требуется перевести систему (3.13) из состояния

в начало координат

за минимальное время.

В данном случае

,

где

.

Решая систему уравнений, найдем

.

Будем считать, что .

y 2
y 2
y 1
y 1
b 2 = 0
a 2 = 0
А
 
В
 
Рис. 11
Рис. 12
Из условия максимума функции следует, что

.

Учитывая, что - линейная функция, меняющая знак не более одного раза, оптимальное управление может быть: или с одним переключением.

Предположим, что , тогда

- константы интегрирования.

На фазовой плоскости получим уравнение . Различным значениям будут соответствовать различные фазовые траектории (параболы).

И только при фазовая траектория проходит через начало координат. Поэтому с управлением можно попасть в начало координат только, стартуя с фазовой траектории 0А.

Пусть теперь .

В этом случае

и .

С
A
D
B
 
y 2
y 1
Рис. 13
Видно, что с управлением можно попасть в начало координаты только стартуя с точек фазовой траектории B0.

Таким образом, фазовая плоскость делится линией A0B на 2 части (области D и C).

Есть старт с точек области D, то сначала , затем .

Если же – c точек области C, то

.

Линия A0 B – линия переключения.

Так реализуется оптимальное управление в задаче быстродействия.

 


Поделиться с друзьями:

mylektsii.su - Мои Лекции - 2015-2026 год. (2.523 сек.)Все материалы представленные на сайте исключительно с целью ознакомления читателями и не преследуют коммерческих целей или нарушение авторских прав Пожаловаться на материал