Студопедия

Главная страница Случайная страница

КАТЕГОРИИ:

АвтомобилиАстрономияБиологияГеографияДом и садДругие языкиДругоеИнформатикаИсторияКультураЛитератураЛогикаМатематикаМедицинаМеталлургияМеханикаОбразованиеОхрана трудаПедагогикаПолитикаПравоПсихологияРелигияРиторикаСоциологияСпортСтроительствоТехнологияТуризмФизикаФилософияФинансыХимияЧерчениеЭкологияЭкономикаЭлектроника






Расчет остаточного напряжения на шинах подстанций А и В






Расчетным условием будет являться трехфазное КЗ в конце первой ступени дистанционной защиты. ПУЭ требует, чтобы . .

Подстанция В:

Сразу можно определить, что эквивалентное сопротивление, при отстройке от КЗ в конце действия первой ступени защиты 3 ( будет больше, чем сопротивление, при отстройке от КЗ в конце действия первой ступени защиты 5 (.Таким образом, можно не считать случай, когда КЗ находится в конце действия первой ступени защиты 3.

1) КЗ в конце действия первой ступени защиты 3.

Режим:

- Система А в минимальном режиме

- Система В в минимальном режиме

- Один автотрансформатор в работе

- L2 отключена

Рисунок 23 - Схема замещения для расчета остаточного напряжения на подстанции В при КЗ в конце действия первой ступени защиты 3

Остаточное напряжение не соответствует требованиям ПУЭ, следовательно, для сохранения устойчивости следует обеспечить быстрое отключение повреждений, т.е. применить быстродействующую РЗ.

 

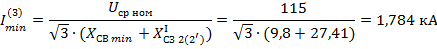
2) КЗ в конце действия первой ступени защиты 2(2’)

Режим:

- Система В в минимальном режиме

Рисунок 24 - Схема замещения для расчета остаточного напряжения на подстанции В при КЗ в конце действия первой ступени защиты 2(2’)

Остаточное напряжение соответствует требованиям ПУЭ.

Подстанция A:

Сразу можно определить, что эквивалентное сопротивление, при отстройке от КЗ в конце действия первой ступени защиты 1( будет больше, чем сопротивление, при отстройке от КЗ в конце действия первой ступени защиты 11(.Таким образом, можно не считать случай, когда КЗ находится в конце действия первой ступени защиты 1.

Режим:

- Система А в минимальном режиме

- Один автотрансформатор в работе

Рисунок 25 - Схема замещения для расчета остаточного напряжения на подстанции А при КЗ в конце действия первой ступени защиты 11

Остаточное напряжение соответствует требованиям ПУЭ.

 


 



Поделиться с друзьями:

mylektsii.su - Мои Лекции - 2015-2026 год. (1.117 сек.)Все материалы представленные на сайте исключительно с целью ознакомления читателями и не преследуют коммерческих целей или нарушение авторских прав Пожаловаться на материал