Студопедия

Главная страница Случайная страница

КАТЕГОРИИ:

АвтомобилиАстрономияБиологияГеографияДом и садДругие языкиДругоеИнформатикаИсторияКультураЛитератураЛогикаМатематикаМедицинаМеталлургияМеханикаОбразованиеОхрана трудаПедагогикаПолитикаПравоПсихологияРелигияРиторикаСоциологияСпортСтроительствоТехнологияТуризмФизикаФилософияФинансыХимияЧерчениеЭкологияЭкономикаЭлектроника






Классификация оснований






1. Растворимые в воде (щелочи) — гидроксиды металлов главных подгрупп I и II групп.

2. Нерастворимые в воде — гидроксиды остальных металлов.

Химические свойства. Щелочи изменяют окраску индикаторов (лакмус становится синим, фенолфталеин – малиновым).

Взаимодействие с кислотами:

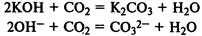
Взаимодействие с кислотными оксидами:

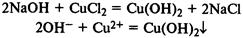
Растворы щелочей вступают в реакции ионного обмена с растворами солей, если образующийся при этом гидроксид нерастворим в воде:

При нагревании слабые основания разлагаются на оксиды металлов и воду:

Получение оснований. Щелочи получают электро­лизом растворов солей.

Электролиз раствора хлорида натрия. Процессы на катоде и аноде:

Уравнение реакции:

Нерастворимые в воде основания получают реакци­ей обмена со щелочами:


Поделиться с друзьями:

mylektsii.su - Мои Лекции - 2015-2026 год. (2.969 сек.)Все материалы представленные на сайте исключительно с целью ознакомления читателями и не преследуют коммерческих целей или нарушение авторских прав Пожаловаться на материал