Студопедия

Главная страница Случайная страница

КАТЕГОРИИ:

АвтомобилиАстрономияБиологияГеографияДом и садДругие языкиДругоеИнформатикаИсторияКультураЛитератураЛогикаМатематикаМедицинаМеталлургияМеханикаОбразованиеОхрана трудаПедагогикаПолитикаПравоПсихологияРелигияРиторикаСоциологияСпортСтроительствоТехнологияТуризмФизикаФилософияФинансыХимияЧерчениеЭкологияЭкономикаЭлектроника






Билет №17.






Средние соли, их состав, названия, химические свойства (взаимодействие с металлами, кислотами, щелочами, друг с другом с учетом особенностей реакций окисления-восстановления и ионного обмена).

Соли — электролиты, в растворах которых есть кати­оны металлов или ион аммония и анионы кислотных остатков.

 

Названия: название аниона + название катиона в ро­дительном падеже + степень окисления металла.

1.B водных растворах соли могут реаги­ровать со щелочами. Так, хлористый магний MgCl2 взаимодействует с едким натром, образуя новую соль и новое основание:

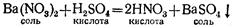
2. Соли могут реагировать с кислотами. Так, раствор азотнокислого бария Ва(гЮз)а взаимодействует с рас­твором серной кислоты, образуя новую кислоту и новую соль:

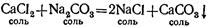
З.В водных растворах соли могут реаги­ровать между собой.

Если слить вместе водные растворы хлористого кальция CaCl2 я углекислого натрия Na2CO3 TO тотчас же образуется белый оса­док нерастворимого в воде углекислого кальция СаСО3, а в рас­творе — хлористый натрий:

4. В водных растворах солей металл, вхо­дящий в их состав, может замещаться дру­гим металлом, стоящим до него в ряду ак­тивности.

Если в раствор сернокислой меди опустить чистую железную проволоку или кусочек цинка, то на их поверхности выделяется медь, а в растворе образуется сернокислое железо (если было опущено железо) или сернокислый цинк (если был опущен цинк):

Но из сернокислого цинка нельзя вытеснить цинк медью: медь в ряду активности стоит после цинка.


Поделиться с друзьями:

mylektsii.su - Мои Лекции - 2015-2026 год. (1.075 сек.)Все материалы представленные на сайте исключительно с целью ознакомления читателями и не преследуют коммерческих целей или нарушение авторских прав Пожаловаться на материал