Студопедия

Главная страница Случайная страница

КАТЕГОРИИ:

АвтомобилиАстрономияБиологияГеографияДом и садДругие языкиДругоеИнформатикаИсторияКультураЛитератураЛогикаМатематикаМедицинаМеталлургияМеханикаОбразованиеОхрана трудаПедагогикаПолитикаПравоПсихологияРелигияРиторикаСоциологияСпортСтроительствоТехнологияТуризмФизикаФилософияФинансыХимияЧерчениеЭкологияЭкономикаЭлектроника






Разрушение металлов и сплавов вследствие химического взаимодействия их с окружающей средой называются коррозией металлов.






Коррозию, вызванную непосредственным химическим взаимодействием между металлом и окружающей средой, называют химической коррозией.

 

Химическая коррозия — окисление металла без воз­никновения гальванической пары. Газовая коррозия — при t > 600°С:

Коррозию, сопровождающуюся возникновением электрического тока за счет появления гальванической пары, называют электрохимической коррозией.

Электрохимическая коррозия – разрушение металла в электролите с возникновением гальванической пары.

– ионы выходят в раствор, электроны перемещаются к менее активному металлу, например к меди.

– разряжаются на менее активном ме­талле, например на меди.

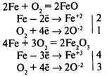
Одним из наиболее широко распространенных видов элек­трохимической коррозии является ржавление обычной стали в водной среде и на воздухе. На поверхности металлических изделий всегда имеется пленка влаги, адсорбированной из воз­духа. Она является электролитом, так как в ней растворены раз­личные газы (СО2, SO2 и др.). Зерна карбида железа Fe3С химически менее активны, чем железо. Поэтому возникают микрогальваническис элементы: зерна Fe3С играют роль катодов, а зерна чистого железа — роль анодов. Железо разрушается — оно ржавеет. Протекающие при этом процессы весьма сложные. Укажем лишь суммарное уравнение реакции:

Ржавчина имеет неопределенный состав

Для защиты от коррозии металлов широко используют лако­красочные покрытия. Однако краски не вечны, изделия прихо­дится перекрашивать. На это затрачивается ручной труд, расхо­дуется много лакокрасочных материалов.

Из неметаллических покрытий для защиты стали и чугуна большое значение имеет эмаль. Эмаль — это силикатное стекло с добавками оксидов металлов. Ее наносят на поверхность ма­териала в виде порошка и обжигают при 500—1000 °С.

Покрытия из эмалей обладают стойкостью по отношению к щелочам и кислотам, длительно противостоят атмосферной кор­розии. Но эмаль легко разрушается при ударе. Благодаря тер­мостойкости, декоративному виду, легкости очистки эмаль широ­ко используется для покрытия изделий домашнего хозяйства и санитарной техники.

С целью защиты металлов от коррозии (и для декоративных целей) издавна используют металлические покрытия. Железо оцинковывают, лудят (покрывают оловом), покрывают никелем, хромируют и т. д.

Защитить металл от коррозии можно с помощью металла и другим способом. Например, если соединить железное изделие или сооружение проводником с куском более активного металла, например магния, то возникает гальванический элемент. При этом сооружение (железо) играет роль катода, а более активный металл выполняет роль анода. Анод разруша­ется, а катод — защищаемый металл — не изменяется. Такая защита называется протекторной.

Одним из способов борьбы с коррозией является использова­ние ингибиторов. Это химические соединения, ничтожные кон­центрации которых способны почти полностью предотвращать коррозию. В некоторых случаях применение ингибиторов позво­ляет изготовлять аппаратуру из обычной стали вместо нержа­веющей.

Одно из наиболее эффективных направлений борьбы с кор­розией металлов — создание коррозионно-стойких сплавов. В больших количествах выплавляют так называемые нержавею­щие стали. В их состав входят металлы (хром, никель), обра­зующие устойчивые защитные оксидные пленки.

 


Поделиться с друзьями:

mylektsii.su - Мои Лекции - 2015-2026 год. (1.922 сек.)Все материалы представленные на сайте исключительно с целью ознакомления читателями и не преследуют коммерческих целей или нарушение авторских прав Пожаловаться на материал