Студопедия

Главная страница Случайная страница

КАТЕГОРИИ:

АвтомобилиАстрономияБиологияГеографияДом и садДругие языкиДругоеИнформатикаИсторияКультураЛитератураЛогикаМатематикаМедицинаМеталлургияМеханикаОбразованиеОхрана трудаПедагогикаПолитикаПравоПсихологияРелигияРиторикаСоциологияСпортСтроительствоТехнологияТуризмФизикаФилософияФинансыХимияЧерчениеЭкологияЭкономикаЭлектроника






Силовые линии, эквипотенциальные поверхности, теорема Гаусса






Физика_кафПБС_2сем_Элмаг

 

Авторский коллектив: Купцова А.В., Купцов П.В., Емельянова Ю.П., Поздняков М.В., Мельников Л.А.

 

База тестовых заданий разбита на одиннадцать разделов. Из раздела «01 Основа» при тестировании случайным образом выбираются десять вопросов, а из всех прочих – по одному. Таким образом, всего предъявляется 20 вопросов. В целом на тест отводится 40 минут. Пороги выставления оценок:

 

Число правильных ответов Процент правильных ответов Оценка
от 0 до 7 0 – 35 неудовлетворительно
от 8 до 11 40 – 55 удовлетворительно
от 12 до 15 60 – 75 хорошо
от 16 до 20 80 – 100 отлично

СОДЕРЖАНИЕ И СТРУКТУРА ТЕСТОВЫХ МАТЕРИАЛОВ

Тематическая структура

01 Основа

02 Закон Кулона, напряжённость, потенциал

03 Силовые линии, эквипотенциальные поверхности, теорема Гаусса

04 Ёмкость, индуктивность, энергия электромагнитного поля

05 Проводники, проводимость, постоянный ток

06 Магнитное поле движущихся зарядов, сила Лоренца

07 Магнитное поле тока, циркуляция магнитной индукции

08 Контур в магнитном поле, магнитный момент

09 Диэлектрики, магнетики

10 Самоиндукция, электрические колебания

11 Уравнения Максвелла

Содержание тестовых материалов

Основа

1. Задание {{ 1 }} ед. изм

В единицах СИ магнитная индукция измеряется в...

2. Задание {{ 2 }} ед. изм

В единицах СИ индуктивность измеряется в...

3. Задание {{ 3 }} ед. изм

В единицах СИ поток вектора напряженности магнитного поля измеряется в...

4. Задание {{ 4 }} ед. изм

В единицах СИ электроёмкость измеряется в...

5. Задание {{ 5 }} ед. изм

В единицах СИ электрическая проводимость измеряется в...

6. Задание {{ 89 }} эл. поле

На рисунке показаны силовые линии и две эквипотенциальные поверхности 1 и 2 в электростатическом поле. Какие точки имеют одинаковые потенциалы?

* B и С

* А, В и С

* А и D

* B и D

* С и D

7. Задание {{ 178 }} ед. изм

В единицах СИ заряд измеряется в...

8. Задание {{ 179 }} ед. изм

В единицах СИ сопротивление измеряется в...

9. Задание {{ 207 }} поле точеч. заряда

Как направлены силовые линии точечного положительного заряда?

*

 

*

 

*

 

*

 

*

 

10. Задание {{ 208 }} поле точеч. заряда

Как выглядят эквипотенциальные линии для точечного положительного заряда?

*

 

*

 

*

 

*

 

*

 

11. Задание {{ 209 }} пост. ток

На графике изображена зависимость силы тока в проводнике от напряжения между его концами. Вычислите его сопротивление. Ответ введите в Омах, округлите ДО ЦЕЛЫХ.

12. Задание {{ 210 }} пост. ток

Что позволяет определить закон Джоуля-Ленца?

* Работу электрического тока

* Тепловое действие тока

* Мощность электрического тока

* Силу тока

* Плотность тока

13. Задание {{ 211 }} заряд

С нейтрального тела сняли заряд +20 Кл, а затем передали заряд -5 Кл. В результате тело обладает зарядом... Кл

14. Задание {{ 212 }} магн. поле тока

На рисунке изображен круговой контур с током. Вектор индукции магнитного поля этого тока в центре О контура направлен…

* влево

* вправо

* вверх

* вниз

* в точке О нет магнитного поля

15. Задание {{ 213 }} закон кулона

Как направлены силы электрического взаимодействия двух точечных отрицательных зарядов и как эти силы зависят от расстояния между зарядами? Выберите верное утверждение.

* Они являются силами отталкивания и обратно пропорциональны расстоянию между зарядами

* Они являются силами отталкивания и обратно пропорциональны квадрату расстояния между зарядами

* Они являются силами притяжения и обратно пропорциональны расстоянию между зарядами

* Они являются силами притяжения и обратно пропорциональны квадрату расстояния между зарядами

* Они являются силами притяжения и прямо пропорциональны квадрату расстояния между зарядами

16. Задание {{ 214 }} элмагн. поле

Явление возникновения электрического тока в замкнутом проводящем контуре при всяком изменении магнитного потока через поверхность, ограниченную этим контуром, называется...

* намагничиванием

* электростатической индукцией

* поляризацией

* напряженностью

* электромагнитной индукцией

17. Задание {{ 215 }} элмагн. поле

Магнитный поток, пронизывающий контур, пропорционален току: Ф=LI, где коэффициент пропорциональности L называется....

18. Задание {{ 216 }} работа поля

Положительный заряд перемещается в однородном электростатическом поле из точки 1 в точку 2 по разным траекториям. Работа сил электростатического поля…

 

* максимальна в случае перемещения по траектории I

* не совершается в случае перемещения по траектории II

* минимальна в случае перемещения по траектории III

* минимальна в случае перемещения по траектории I

* одинакова при перемещении по всем траекториям

19. Задание {{ 226 }} св. заряда

Укажите свойства электрического заряда:

* Заряд всех элементарных частиц одинаков по абсолютной величине и не существует свободных частиц, с зарядом меньше этой величины.

* Существуют два вида электрических зарядов, положительный и отрицательный.

* В любой электрически изолированной системе алгебраическая сумма зарядов не изменяется.

* Электрический заряд не зависит от скорости заряженного тела относительно наблюдателя.

* Электрический заряд увеличивается при увеличении скорости заряженного тела относительно наблюдателя.

* Электрический заряд - это непрерывная величина, поэтому величина заряда тела может быть сколько угодно малой.

20. Задание {{ 227 }} св. заряда

Выберите правильные утверждения, относящиеся к объяснению природы зарядов макроскопических тел.

* Если тело не заряжено, значит оно не содержит заряженных частиц.

* Всякий заряд q кратен по абсолютной величине заряду электрона e.

* Заряды макроскопических объектов определяются избытком или недостатком заряженных частиц.

* Атомы вещества содержат в ядрах положительно заряженные протоны, а на атомных орбитах находятся отрицательно заряженные электроны.

* Заряд тела можно сделать сколько угодно малым.

21. Задание {{ 228 }} эл. поле

Укажите правильные утверждение, описывающие понятие " электрическое поле".

* Электрическое поле создаётся только положительными зарядами, а действие поля на себе испытывают только отрицательные заряды.

* Электрическое поле создаёт электрическое заряды.

* Электрическое поле проявляет себя в том, что любой помещённый в какую-либо его точку заряд испытывает действие силы.

* Всякий электрический заряд q изменяет свойства окружающего его пространства - создаёт электрическое поле.

* Взаимодействие между зарядами осуществляется через электрическое поле.

22. Задание {{ 229 }} закон Кулона

Согласно закону Кулона, сила, действующая между заряженными частицами...

* пропорциональна квадратам зарядов этих частиц.

* не зависит от расстояния между зарядами.

* пропорциональна произведению зарядов этих частиц.

* обратно пропорциональна квадрату расстояния между ними.

* пропорциональна каждому из зарядов этих частиц.

23. Задание {{ 230 }} эл. поле

Напряжённость поля

* это силовая характеристика поля.

* равна силе, действующей на единичный неподвижный положительный заряд, помещённый в данную точку поля.

* не зависит от величины помещаемого в поле пробного заряда.

* это векторная величина.

* это энергетическая характеристика поля.

* равна потенциальной энергии единичного неподвижного положительного заряда, помещённого в данную точку поля.

24. Задание {{ 231 }} эл. поле

Потенциал поля

* численно равен работе, которую совершают силы поля над единичным положительным зарядом при удалении его из данной точки на бесконечность.

* равен потенциальной единичного неподвижного положительного заряда, помещённого в данную точку поля.

* не зависит от величины помещаемого в поле пробного заряда.

* это векторная величина.

* равен силе, действующей на единичный неподвижный положительный заряд, помещённый в данную точку поля.

* это энергетическая характеристика поля.

25. Задание {{ 232 }} эл. поле

Укажите свойства силовых линий электростатического поля

* Силовые линии начинаются на положительных зарядах и заканчиваются на отрицательных.

* Силовые линии могут уходить на бесконечность или приходить из бесконечности.

* Вектора напряжённости направлены по касательным к силовым линиями.

* Плотность линий в некоторой области пространства равна абсолютной величине напряжённости поля в этой области.

* Силовые линии могут быть замкнутыми, то есть могут образовывать кольца.

* Силовые линии могут иметь разрывы.

26. Задание {{ 233 }} пр. суперпозиц

Укажите верные утверждения, касающиеся принципа суперпозиции для напряжённости электрического поля.

* Напряжённость поля системы точечных неподвижных зарядов равна векторной сумме напряжённостей полей, которые создавали бы каждый из зарядов в отдельности.

* Напряжённость поля системы точечных неподвижных зарядов можно вычислить как векторную сумму вкладов отдельных зарядов.

* Напряжённость поля системы точечных неподвижных зарядов по абсолютной величине равна сумме квадратов напряжённостей полей, которые создавали бы каждый из зарядов в отдельности.

* Напряжённость поля системы точечных неподвижных зарядов совпадает с напряжённостью поля, создаваемого максимальным по величине зарядом.

* Напряжённость поля системы точечных неподвижных зарядов вычисляется как алгебраическая сумма напряжённостей полей каждого из зарядов.

 

27. Задание {{ 234 }} пр. суперпозиц

Укажите верные утверждения, касающиеся принципа суперпозиции для потенциала электрического поля.

* Потенциал поля системы точечных неподвижных зарядов равен алгебраической сумме потенциалов, создаваемых каждым из зарядов.

* Потенциал поля системы точечных неподвижных зарядов можно найти, сложив потенциалы полей каждого из зарядов.

* Потенциал поля системы точечных неподвижных зарядов равен векторной сумме вкладов отдельных зарядов.

* Для вычисления потенциала поля системы точечных неподвижных зарядов нужно сложить квадраты потенциалов полей каждого из зарядов.

* Потенциал поля системы точечных неподвижных зарядов равен потенциалу поля, создаваемого минимальным по величине зарядом.

28. Задание {{ 235 }} эл. поле

Укажите верные утверждения, касающиеся понятия " эквипотенциальная поверхность".

* Эквипотенциальная поверхность - это геометрическое место точек электростатического поля, в которых значения потенциала одинаковы.

* Вектор напряжённости поля всегда перпендикулярен эквипотенциальной поверхности и направлен в сторону наискорейшего убывания потенциала.

* Составляющая вектора напряжённости поля, направленная по касательной к эквипотенциальной поверхности, пропорциональна величине заряда, создающего поле.

* Во всех точках эквипотенциальной поверхности абсолютная величина напряжённости поля одинакова.

* Одна и та же точка пространства может одновременно принадлежать нескольким эквипотенциальным поверхностям.

29. Задание {{ 236 }} диполь

Выберите верные утверждения, относящиеся к понятию " электрический диполь".

* Диполь представляет собой систему двух одинаковых точечных зарядов +q и -q, находящихся на некотором расстоянии друг от друга.

* Поле диполя рассматривают на расстояниях, которые много больше расстояния между зарядами диполя, т. е. диполь можно считать точечным объектом.

* Диполь, помещённый во внешнее электрическое поле, ориентируется вдоль силовой линии поля.

* Поле диполя обладает сферической симметрией.

* Диполь, помещённый во внешнее электрическое поле, движется в направлении силовых линий поля.

30. Задание {{ 237 }} диэлектрик в эл. поле

Когда диэлектрик попадает во внешнее электрическое поле, то происходит следующее:

* На поверхности диэлектрика возникает нескомпенсированный поверхностный связанный заряд.

* Внешнее поле внутри диэлектрика ослабляется.

* Если диэлектрик однородный, то внутри него возникает объёмный нескомпенсированный связанный заряд.

* Происходит разделение зарядов, то есть отрицательные заряды скапливаются на одном его краю, а положительные на другом.

* Происходит его поляризация, то есть выстраивание молекулярных диполей преимущественно вдоль силовых линий поля.

31. Задание {{ 238 }} проводник в эл. поле

Укажите условия равновесия зарядов в проводнике, помещённом во внешнее электрическое поле.

* Напряжённость поля внутри проводника всюду равна нулю.

* Потенциал поля во всех точках внутри проводника имеет одно и то же значение.

* Поверхность проводника является эквипотенциалью.

* Вектор напряжённости поля в каждой точке поверхности проводника направлен по нормали к поверхности.

* Напряжённость поля в каждой точке на поверхности проводника равна нулю.

* Потенциал поля на поверхности проводника обращается в ноль.

32. Задание {{ 239 }} эл. ток

Укажите правильные утверждения, относящиеся к понятию " электрический ток".

* Электрический ток - это упорядоченное движение заряженных частиц.

* Сила тока равна величине заряда, переносимого через поперечное сечение проводника в единицу времени.

* Носителями тока в проводящей среде являются свободные заряженные частицы, например электроны (в металлах) и ионы (в электролитах).

* При отсутствии тока в проводнике свободные заряженные частицы неподвижны.

* Всякое движение свободных заряженных частицы в проводнике называется электрическим током.

33. Задание {{ 240 }} эрстед и ампер

Выберите правильные утверждения об опытах Эрстеда и Ампера.

* Из этих опытов следует, что проводники с электрическим током создают магнитное поле.

* В опыте Эрстеда магнитная стрелка, расположенная параллельно проводнику, при включении тока ориентируется перпендикулярно ему.

* Опыт Ампера доказывает, что при прохождении по параллельным проводникам электрического тока, между ними возникает сила притяжения или отталкивания.

* В опыте Ампера магнитное поле, действуя на движущиеся заряды, приводит к закручиванию их траекторий.

* Эти опыты доказывают, что вокруг проводников с электрическим током возникает электрическое поле.

34. Задание {{ 241 }} магн. поле

Выберите верные утверждения о магнитном поле.

* Основной характеристикой является вектор магнитной индукции.

* Создаётся движущимися электрическими зарядами.

* Имеет общую природу с электрическим полем.

* Магнитное поле является вихревым, поэтому его силовые линии не имеют начал и концов и всегда замкнуты.

* Возникает вокруг неподвижных электрических зарядов.

* Силовые линии начинаются и заканчиваются на электрических зарядах.

35. Задание {{ 242 }} магнетики

Выберите верные утверждения, относящиеся к объяснению механизма намагничивания вещества

* В молекулах вещества циркулируют круговые токи.

* Токи, циркулирующие в молекулах, создают магнитные поля, которые взаимодействуют с внешними полями.

* Магнетизм вещества обусловлен движением электронов по своим орбитам, собственным вращательным моментом электронов и собственным вращательным моментом атомных ядер.

* Заряды, присутствующие в молекулах, образуют электрические диполи.

* Молекулярные электрические диполи выстраиваются под действием внешнего поля.

* Молекулы вещества совершают тепловое движение, что приводит к возникновению магнитного поля, взаимодействующего с внешними полями.

36. Задание {{ 243 }} магнетики

Когда магнетик попадает во внешнее магнитное поле, то происходит следующее:

* Если молекулы обладают собственными магнитными моментами, то они выстраиваются преимущественно в определённом направлении.

* Магнитные моменты молекул ориентируются таким образом, что на поверхности возникает нескомпенсированный поверхностный ток намагничивания.

* Если магнетик однородный, то внутри него токи намагничивания компенсируют друг друга, так что объёмный ток намагничивания отсутствует.

* Магнетик притягивается к источнику поля.

* Происходит перераспределение молекулярных магнитных моментов, так что ориентированные преимущественно по полю скапливаются на одном краю магнетика, а ориентированные против поля - на противоположном.

37. Задание {{ 244 }} индукция

Выберите утверждения, относящиеся к явлению электромагнитной индукции.

* В замкнутом неподвижном проводящем контуре возникает электрический ток, если он находится в переменном магнитном поле.

* Если имеется замкнутый проводящий контур в магнитном поле, и при этом пронизывающий контур поток вектора магнитной индукции меняется во времени, то в контуре возникает электрический ток.

* Если замкнутый неподвижный проводящий контур помещён в постоянное магнитное поле, то в контуре возникает электрический ток.

* Когда замкнутый неподвижный проводящий контур попадает в постоянное электрическое поле, в нём возникает электрический ток.

* Когда к проводнику приложено внешнее электрическое поле, то в нём возникает электрический ток.

* Если замкнутый проводящий контур вращается в постоянном магнитном поле, то в контуре возникает электрический ток.

38. Задание {{ 245 }} ур. максвелла

Уравнения Максвелла утверждают следующее.

* Изменяющееся магнитное поле порождает электрическое поле.

* Магнитное поле порождается токами проводимости и изменяющимся электрическим полем.

* Источниками электрического поля служат заряды.

* Источниками магнитного поля служат полюса магнитов.

* Постоянное магнитное поле порождает электрическое поле.

* Постоянное электрическое поле порождает магнитное поле.

39. Задание {{ 246 }} элмагн. поле

Явление возникновения ЭДС в контуре, в котором течёт переменный электрический ток, называется... (укажите точное название)

* самоиндукцией

* электростатической индукцией

* поляризацией

* электромагнитной индукцией

* разделением зарядов

40. Задание {{ 247 }} магнетики

Укажите правильные свойства магнетиков.

* Ферромагнетики намагничиваются в направлении приложенного внешнего магнитного поля.

* Ферромагнетики обладают наиболее сильными магнитными свойствами.

* Диамагнетики намагничиваются против приложенного внешнего магнитного поля.

* Диамагнетики обладают наиболее слабыми магнитными свойствами.

* Парамагнетики намагничиваются против приложенного внешнего магнитного поля.

* Молекулы диамагнетиков имеют собственный магнитный момент.

02 Закон Кулона, напряжённость, потенциал

41. Задание {{ 51 }} ТЗ № 51

Укажите, на каком графике правильно показана зависимость напряженности электростатического поля Е от расстояния r для тонкой равномерно заряженной бесконечной нити.

*

 

*

 

*

 

*

 

*

 

42. Задание {{ 52 }} ТЗ № 52

Укажите, какой график соответствует зависимости напряженности электростатического поля Е от расстояния r для точечного заряда.

*

 

*

 

*

 

*

 

*

 

43. Задание {{ 53 }} ТЗ № 53

Укажите, какой график соответствует зависимость напряженности электростатического поля Е от расстояния r до поверхности, заряженной с постоянной поверхностной плотностью заряда.

*

 

*

 

*

 

*

 

*

 

44. Задание {{ 54 }} ТЗ № 54

Укажите, на каком графике правильно показана зависимость напряжённости электростатического поля E от расстояния до центра однородно заряженной пластины r (внутри и снаружи пластины).

*

 

*

 

*

 

*

 

*

 

45. Задание {{ 55 }} ТЗ № 55

Укажите, какой график правильно показывает зависимость напряжённости электростатического поля E от расстояния до начала координат в пространстве с однородным распределением объёмного заряда.

*

 

*

 

*

 

*

 

*

 

46. Задание {{ 56 }} ТЗ № 56

Какой из нижеприведенных графиков качественно отражает зависимость потенциала от расстояния для уединенной металлической заряженной сферы радиуса R?

*

 

*

 

*

 

*

 

*

 

47. Задание {{ 57 }} ТЗ № 57

Поставьте в соответствие потенциалу заряженного тела его математическое выражение.

потенциал тела с распределённым по объёму зарядом  
потенциал поля диполя  
потенциал внутри заряженной сферы радиуса R  
потенциал системы зарядов  
потенциал поля точечного заряда  

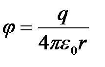
48. Задание {{ 58 }} ТЗ № 58

Какое из приведенных ниже выражений есть определение потенциала электрического поля?

*

 

*

 

*

 

*

 

*

 

49. Задание {{ 59 }} ТЗ № 59

Укажите системы зарядов, потенциал поля которых в центре правильного шестиугольника равен нулю.

*

 

*

 

*

 

*

 

50. Задание {{ 60 }} ТЗ № 60

Укажите системы зарядов, потенциал поля которых в центре правильного шестиугольника не равен нулю.

*

 

*

 

*

 

*

 

51. Задание {{ 191 }} ТЗ № 191

Как изменится по модулю напряженность электрического поля точечного заряда при уменьшении расстояния до заряда в 2 раза?

* увеличится в 4 раза

* уменьшится в 4 раза

* увеличится в 2 раза

* уменьшится в 2 раза

* не изменится

52. Задание {{ 192 }} ТЗ № 192

Как изменится по модулю напряженность электрического поля точечного заряда при увеличении расстояния до заряда в 4 раза?

* увеличится в 4 раза

* уменьшится в 4 раза

* не изменится

* увеличится в 16 раз

* уменьшится в 16 раз

53. Задание {{ 193 }} ТЗ № 193

Как изменится по модулю напряженность электрического поля точечного заряда при увеличении расстояния до заряда в 2 раза?

* увеличится в 4 раза

* уменьшится в 4 раза

* не изменится

* увеличится в 16 раз

* уменьшится в 16 раз

54. Задание {{ 194 }} ТЗ № 194

Как изменится по модулю напряженность электрического поля точечного заряда при уменьшении расстояния до заряда в 4 раза?

* увеличится в 4 раза

* уменьшится в 4 раза

* не изменится

* увеличится в 16 раз

* уменьшится в 16 раз

55. Задание {{ 195 }} ТЗ № 195

Какой из нижеприведенных графиков качественно отражает зависимость потенциала от расстояния для шара радиуса R, объёмная плотность заряда которого убывает при удалении от центра как A/r, где A - константа?

*

 

*

 

*

 

*

 

*

 

56. Задание {{ 196 }} ТЗ № 196

Как изменится потенциал в точке, находящейся на расстоянии 3 м от равномерно заряженной пластины, если увеличить поверхностную плотность заряда пластины в 2 раза?

* увеличится в 2 раза

* уменьшится в 2 раза

* не изменится

* увеличится в 6 раз

* уменьшится в 6 раз

57. Задание {{ 197 }} ТЗ № 197

Как изменится потенциал в точке, находящейся на расстоянии 3 м от равномерно заряженной пластины, если увеличить поверхностную плотность заряда пластины в 4 раза?

* не изменится

* увеличится в 4 раза

* уменьшится в 4 раза

* увеличится в 12 раз

* уменьшится в 12 раз

58. Задание {{ 223 }} ТЗ № 223

Модуль силы взаимодействия между двумя неподвижными точечными зарядами равен F. Чему станет равен модуль этой силы, если увеличить заряд одного тела в 3 раза, а второго - в 2 раза?

* 6F

* 5F

* F/5

* F/6

* F

59. Задание {{ 248 }} ТЗ № 248

Два заряда находятся в веществе с диэлектрической проницаемостью, равной 2 на расстоянии 1 см друг от друга и взаимодействуют с силой 2.7 Н. Величина одного заряда в 3 раза больше другого. Определить величину БОЛЬШЕГО из двух зарядов. Ответ ввести в НАНОКУЛОНАХ, округлить ДО ЦЕЛЫХ ().

60. Задание {{ 249 }} ТЗ № 248

Два заряда находятся в веществе с диэлектрической проницаемостью, равной 3 на расстоянии 1 см друг от друга и взаимодействуют с силой 1.2 Н. Величина одного заряда в 2.5 раза больше другого. Определить величину БОЛЬШЕГО из двух зарядов. Ответ ввести в НАНОКУЛОНАХ, округлить ДО ЦЕЛЫХ ().

61. Задание {{ 250 }} ТЗ № 248

Два заряда находятся в веществе с диэлектрической проницаемостью, равной 4 на расстоянии 2 см друг от друга и взаимодействуют с силой 1.8 Н. Величина одного заряда в 2.5 раза больше другого. Определить величину БОЛЬШЕГО из двух зарядов. Ответ ввести в НАНОКУЛОНАХ, округлить ДО ЦЕЛЫХ ().

62. Задание {{ 251 }} ТЗ № 248

Два заряда находятся в веществе с диэлектрической проницаемостью, равной 2 на расстоянии 2 см друг от друга и взаимодействуют с силой 1.8 Н. Величина одного заряда в 2.5 раза больше другого. Определить величину МЕНЬШЕГО из двух зарядов. Ответ ввести в НАНОКУЛОНАХ, округлить ДО ЦЕЛЫХ ().

63. Задание {{ 252 }} ТЗ № 248

Два заряда находятся в веществе с диэлектрической проницаемостью, равной 2 на расстоянии 2 см друг от друга и взаимодействуют с силой 2.5 Н. Величина одного заряда в 3.5 раза больше другого. Определить величину МЕНЬШЕГО из двух зарядов. Ответ ввести в НАНОКУЛОНАХ, округлить ДО ЦЕЛЫХ ().

64. Задание {{ 253 }} ТЗ № 248

Два заряда находятся в веществе с диэлектрической проницаемостью, равной 4 на расстоянии 1 см друг от друга и взаимодействуют с силой 2.5 Н. Величина одного заряда в 3.3 раза больше другого. Определить величину МЕНЬШЕГО из двух зарядов. Ответ ввести в НАНОКУЛОНАХ, округлить ДО ЦЕЛЫХ ().

65. Задание {{ 257 }} ТЗ № 257

Заряд переместили из точки на расстоянии от поверхности заряженного шара радиусом на бесконечность. Шар заряжен с поверхностной плотностью . Приняв потенциал на бесконечности равным нулю, определить совершаемую при этом работу.

(). Введите ответ в мкДж, округлите до целых.

66. Задание {{ 258 }} ТЗ № 257

Заряд переместили из точки на расстоянии от поверхности заряженного шара радиусом на бесконечность. Шар заряжен с поверхностной плотностью . Приняв потенциал на бесконечности равным нулю, определить совершаемую при этом работу.

(). Введите ответ в мкДж, округлите до целых.

67. Задание {{ 259 }} ТЗ № 257

Заряд переместили из точки на расстоянии от поверхности заряженного шара радиусом на бесконечность. Шар заряжен с поверхностной плотностью . Приняв потенциал на бесконечности равным нулю, определить совершаемую при этом работу.

(). Введите ответ в мкДж, округлите до целых.

Силовые линии, эквипотенциальные поверхности, теорема Гаусса

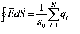
68. Задание {{ 81 }} ТЗ № 81

Укажите формулу соответствующую

Дифференциальной форме записи теоремы Гаусса для вакуума  
Дифференциальной форме записи теоремы Гаусса для области пространства, заполненного диэлектриком в присутствии стороннего заряда  
Интегральной форме записи теоремы Гаусса для диэлектрика в отсутствии стороннего заряда  
Дифференциальной форме записи теоремы Гаусса для диэлектрика в отсутствии стороннего заряда  
Интегральной форме записи для пространства, заполненного диэлектриком в присутствии стороннего заряда  

69. Задание {{ 82 }} ТЗ № 82

Какая из форм записи теоремы Гаусса соответствует

Системе точечных зарядов в вакууме  
Однородному непрерывному распределению заряда в вакууме  
Неоднородному непрерывному распределению заряда в вакууме  
Неоднородному непрерывному распределению стороннего заряда в диэлектрике  
Отсутствию стороннего заряда в диэлектрике  

70. Задание {{ 83 }} ТЗ № 83

Цилиндрическая поверхность охватывает равномерно положительно заряженную нить. Как изменится модуль потока вектора напряженности электрического поля через эту поверхность, если нить перевести из наклонного положения (II), в соосное положение (I), сохранив пересечение нити с основаниями цилиндра? Среда однородна.

* уменьшится

* увеличится

* не изменится

71. Задание {{ 84 }} ТЗ № 84

В вершине куба расположен заряд q. Найти поток вектора Е через куб. Диэлектрическая проницаемость ε =1.

* q/8ε 0

 

* 0

 

* q/4ε 0

 

* q/16ε 0

 

* q/2ε 0

 

72. Задание {{ 85 }} ТЗ № 85

В середине ребра куба расположен заряд q. Найти поток вектора Е через куб.

* q/4ε 0

 

* 0

 

* q/8ε 0

 

* q/16ε 0

 

* q/2ε 0

 

73. Задание {{ 86 }} ТЗ № 86

На рисунке приведена картина силовых линий электростатического поля. Какое соотношение для напряженностей Е и потенциалов в точках 1 и 2 верно?

* ,

 

* ,

 

* ,

 

* ,

 

* ,

 

74. Задание {{ 87 }} ТЗ № 87

На рисунке приведена картина силовых линий электростатического поля. Какое соотношение для напряженностей Е и потенциалов в точках 1 и 2 верно?

* ,

 

* ,

 

* ,

 

* ,

 

* ,

 

75. Задание {{ 88 }} ТЗ № 88

Какие из нижеприведенных выражений дают правильную связь между напряженностью электростатического поля и потенциалом в неоднородном электрическом поле?

*

 

*

 

*

 

*

 

*

 

*

 

76. Задание {{ 90 }} ТЗ № 90

В некоторой области пространства создано электростатическое поле, потенциал которого описывается функцией . Вектор напряженности электрического поля в точке пространства, показанной на рисунке, будет иметь направление… (введите цифру).

77. Задание {{ 168 }} ТЗ № 168

В некоторой области пространства создано электростатическое поле, потенциал которого описывается функцией . Вектор напряженности электрического поля в точке пространства, показанной на рисунке, будет иметь направление… (введите цифру).

78. Задание {{ 169 }} ТЗ № 169

В некоторой области пространства создано электростатическое поле, потенциал которого описывается функцией . Вектор напряженности электрического поля в точке пространства, показанной на рисунке, будет иметь направление… (введите цифру).

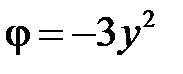
79. Задание {{ 170 }} ТЗ № 170

В некоторой области пространства создано электростатическое поле, потенциал которого описывается функцией . Вектор напряженности электрического поля в точке пространства, показанной на рисунке, будет иметь направление… (введите цифру).

80. Задание {{ 198 }} ТЗ № 198

В центре сферы радиуса R находится точечный заряд Q. Поток вектора напряженности через часть сферической поверхности площадью S равен…

*

 

*

 

*

 

*

 

*

 

*

 

81. Задание {{ 199 }} ТЗ № 199

В центре сферы радиуса 2 R находится точечный заряд Q. Поток вектора напряженности через часть сферической поверхности площадью S равен…

*

 

*

 

*

 

*

 

*

 

*

 

82. Задание {{ 217 }} ТЗ № 217

Две концентрические металлические заряженные сферы радиусами R 1 = 6 см и R 2 = 10 см несут соответственно заряды Q 1 = 1 нКл и Q 2 = -0, 5 нКл. Найдите напряженность Е поля в точке, отстоящей от центра сфер на расстояние r = 2 см. Введите ответ в В/м, округлите ДО ЦЕЛЫХ.

83. Задание {{ 254 }} ТЗ № 254

Определить поток вектора напряжённости электрического поля сквозь замкнутую шаровую поверхность радиуса если заряд находится на расстоянии от центра поверхности, заряд расположен на расстоянии от центра, а заряд – на расстоянии (). Введите ответ в , округлите ДО ЦЕЛЫХ.

84. Задание {{ 255 }} ТЗ № 254

Определить поток вектора напряжённости электрического поля сквозь замкнутую шаровую поверхность радиуса если заряд находится на расстоянии от центра поверхности, заряд расположен на расстоянии от центра, а заряд – на расстоянии (). Введите ответ в , округлите ДО ЦЕЛЫХ.

85. Задание {{ 256 }} ТЗ № 254

Определить поток вектора напряжённости электрического поля сквозь замкнутую шаровую поверхность радиуса если заряд находится на расстоянии от центра поверхности, заряд расположен на расстоянии от центра, а заряд – на расстоянии (). Введите ответ в , округлите ДО ЦЕЛЫХ.


Поделиться с друзьями:

mylektsii.su - Мои Лекции - 2015-2026 год. (2.176 сек.)Все материалы представленные на сайте исключительно с целью ознакомления читателями и не преследуют коммерческих целей или нарушение авторских прав Пожаловаться на материал