Студопедия

Главная страница Случайная страница

КАТЕГОРИИ:

АвтомобилиАстрономияБиологияГеографияДом и садДругие языкиДругоеИнформатикаИсторияКультураЛитератураЛогикаМатематикаМедицинаМеталлургияМеханикаОбразованиеОхрана трудаПедагогикаПолитикаПравоПсихологияРелигияРиторикаСоциологияСпортСтроительствоТехнологияТуризмФизикаФилософияФинансыХимияЧерчениеЭкологияЭкономикаЭлектроника






Диэлектрики, магнетики






219. Задание {{ 16 }} ТЗ № 16

Установите соответствие между формулами и типами магнетиков

такого вещества не существует ,  
ферромагнетик ,  
диамагнетик ,  
парамагнетик ,  

220. Задание {{ 17 }} ТЗ № 17

Установите соответствие между формулами и типами магнетиков

такого вещества не существует ,  
ферромагнетик ,  
диамагнетик ,  
парамагнетик ,  

221. Задание {{ 18 }} ТЗ № 18

Установите соответствие между формулами и типами магнетиков (ae - магнитная восприимчивость)

диамагнетик ,  
парамагнетик ,  
ферромагнетик ,  
такого вещества не существует ,  

222. Задание {{ 19 }} ТЗ № 19

Отметьте утверждения, которые СПАВЕДЛИВЫ ДЛЯ ДИАМАГНЕТИКОВ

* Магнитный момент молекул диамагнетика в отсутствие внешнего магнитного поля равен нулю.

* Намагниченность диамагнетика возникает из-за ларморовской прецессии.

* Во внешнем магнитном поле диамагнетик намагничивается в направлении, противоположном направлению внешнего поля.

* Магнитная проницаемость диамагнетика много больше единицы.

* После отключения внешнего магнитного поля вектор намагничивания диамагнетика может быть не равен нулю.

223. Задание {{ 20 }} ТЗ № 20

Отметьте утверждения, которые СПАВЕДЛИВЫ ДЛЯ ПАРАМАГНЕТИКОВ

* Во внешнем магнитном поле парамагнетик намагничивается в направлении, поля.

* Магнитная проницаемость парамагнетика ненамного больше единицы и в большинстве случаев её можно считать равной единице.

* Намагниченность парамагнетика объясняется прецессией Лармора.

* Магнитный момент молекул парамагнетика в отсутствие внешнего магнитного поля равен нулю.

* Зависимость намагниченности парамагнетика от напряжённости внешнего поля не однозначна, а определяется предшествовавшей историей намагничивания.

224. Задание {{ 61 }} ТЗ № 61

Выберите правильные утверждения для силовых линий вектора Е.

При переходе из одной диэлектрической среды в другую силовые линии...

* появляются дополнительные силовые линии

* меняют наклон и густоту

* не меняют своего направления

* лежат вдоль границы раздела

* перпендикулярны границе раздела

225. Задание {{ 62 }} ТЗ № 62

Выберите правильные утверждения для силовых линий вектора D.

При переходе из одной диэлектрической среды в другую силовые линии

* не появляются дополнительные силовые линии

* меняют наклон и густоту

* не меняют своего направления

* лежат вдоль границы раздела

* перпендикулярны границе раздела

226. Задание {{ 63 }} ТЗ № 63

Выберите правильные утверждения для силовых линий вектора поляризации P.

* Обрываются на границе раздела диэлектрик-вакуум

* Начинаются на связанных зарядах

* Начинаются на отрицательных связанных зарядах, а заканчиваются на положительных связанных

* Не меняются на границе раздела диэлектрик-вакуум

* Начинаются на сторонних зарядах

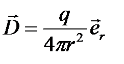
227. Задание {{ 64 }} ТЗ № 64

Какое из приведенных ниже выражений есть определение вектора электрического смещения?

*

 

*

 

*

 

*

 

*

 

228. Задание {{ 65 }} ТЗ № 65

На рисунке дано изображение электростатического поля на границе двух диэлектриков с диэлектрическими проницаемостями и . Сравнить и между собой. Указать, линии какого поля или изображены на рисунке.

* , линии вектора

 

* , линии вектора

 

* , линии вектора

 

* , линии вектора

 

229. Задание {{ 175 }} ТЗ № 175

В однородное электрическое поле с напряженностью Е 0 = 100 В/м помещена бесконечная плоскопараллельная пластина из однородного и изотропного диэлектрика с проницаемостью ε = 2. Пластина расположена перпендикулярно к Е 0. Напряженность поля Е внутри пластины равна…

* 50 В/м

* 50 кВ/м

* 100 В/м

* 200 В/м

* 200 кВ/м

230. Задание {{ 176 }} ТЗ № 176

В однородное электрическое поле с напряженностью Е 0 = 100 В/м помещена бесконечная плоскопараллельная пластина из однородного и изотропного диэлектрика с проницаемостью ε = 4. Пластина расположена перпендикулярно к Е 0. Напряженность поля Е внутри пластины равна…

* 50 В/м

* 100 В/м

* 400 В/м

* 400 кВ/м

* 25 В/м

* 25 кВ/м

231. Задание {{ 177 }} ТЗ № 177

В однородное электрическое поле с напряженностью Е 0 = 200 В/м помещена бесконечная плоскопараллельная пластина из однородного и изотропного диэлектрика с проницаемостью ε = 2. Пластина расположена перпендикулярно к Е 0. Напряженность поля Е внутри пластины равна…

* 50 В/м

* 100 В/м

* 400 кВ/м

* 400 В/м

* 100 кВ/м

232. Задание {{ 180 }} ТЗ № 180

Диэлектрическая проницаемость вещества ε = 2. Диэлектрическая восприимчивость æ равна…

* 1

* 2

* 3

* 4

* 5

233. Задание {{ 181 }} ТЗ № 181

Диэлектрическая проницаемость вещества ε = 3. Диэлектрическая восприимчивость æ равна…

* 1

* 2

* 3

* 4

* 5

234. Задание {{ 182 }} ТЗ № 182

Диэлектрическая восприимчивость вещества æ =3. Диэлектрическая проницаемость ε равна…

* 1

* 2

* 3

* 4

* 5

235. Задание {{ 183 }} ТЗ № 183

Диэлектрическая восприимчивость вещества æ =2. Диэлектрическая проницаемость ε равна…

* 1

* 2

* 3

* 4

* 5

236. Задание {{ 184 }} ТЗ № 184

Магнитная восприимчивость вещества χ =2. Магнитная проницаемость μ равна…

237. Задание {{ 185 }} ТЗ № 185

Магнитная восприимчивость вещества χ =3. Магнитная проницаемость μ равна…

238. Задание {{ 186 }} ТЗ № 186

Магнитная проницаемость вещества μ =2. Магнитная восприимчивость χ равна…

239. Задание {{ 187 }} ТЗ № 187

Магнитная проницаемость вещества μ =5. Магнитная восприимчивость χ равна…

240. Задание {{ 218 }} ТЗ № 218

Во сколько раз изменится сила взаимодействия двух точечных зарядов, если их из вакуума перенести в диэлектрическую среду с проницаемостью ε = 3?

* уменьшится в 3 раза

* увеличится в 3 раза

* увеличится в 9 раз

* уменьшится в 9 раз

* уменьшится в 1.73 раза


Поделиться с друзьями:

mylektsii.su - Мои Лекции - 2015-2026 год. (1.298 сек.)Все материалы представленные на сайте исключительно с целью ознакомления читателями и не преследуют коммерческих целей или нарушение авторских прав Пожаловаться на материал