Студопедия

Главная страница Случайная страница

КАТЕГОРИИ:

АвтомобилиАстрономияБиологияГеографияДом и садДругие языкиДругоеИнформатикаИсторияКультураЛитератураЛогикаМатематикаМедицинаМеталлургияМеханикаОбразованиеОхрана трудаПедагогикаПолитикаПравоПсихологияРелигияРиторикаСоциологияСпортСтроительствоТехнологияТуризмФизикаФилософияФинансыХимияЧерчениеЭкологияЭкономикаЭлектроника






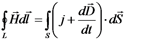
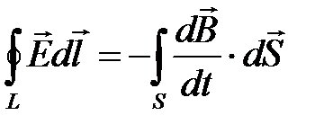
Уравнения Максвелла. Уравнения Максвелла для некоторого пространства имеют следующий вид:






261. Задание {{ 91 }} ТЗ № 91

Уравнения Максвелла для некоторого пространства имеют следующий вид:

, , ,

Из приведённых ниже утверждений, выберите верные:

А. Отсутствуют токи смещения.

B. Отсутствует переменное магнитное поле.

C. Существуют независимые друг от друга стационарные электрическое и магнитное поля.

* Только А и В

* Только A

* Только B

* Только C

* Справедливы все утверждения

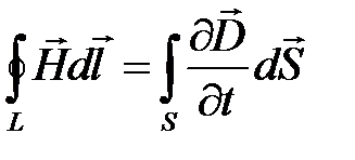
262. Задание {{ 92 }} ТЗ № 92

Для какого случая эта система уравнений Максвелла справедлива?

, , ,

* Переменное электромагнитное поле при наличии заряженных тел и токов проводимости.

* Электромагнитное поле в отсутствие заряженных тел и токов проводимости.

* Электромагнитное поле при наличии только постоянных токов проводимости.

* Электромагнитное поле при наличии только статического распределения свободных зарядов.

* Стационарное электрическое и магнитное поля.

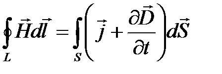
263. Задание {{ 93 }} ТЗ № 93

Система уравнений Максвелла имеет вид:

, , ,

Для какого случая эта система справедлива?

* Электромагнитное поле в отсутствие заряженных тел и токов проводимости.

* Электромагнитное поле при наличии статического распределения свободных зарядов.

* Электромагнитное поле при наличии постоянных токов проводимости.

* Стационарное электрическое и магнитное поле.

* Переменное электромагнитное поле при наличии переменных токов проводимости.

264. Задание {{ 94 }} ТЗ № 94

Система уравнений Максвелла имеет вид:

, , ,

Для какого случая эта система справедлива?

* Стационарное электрическое и магнитное поле.

* Электромагнитное поле при наличии только статического распределения свободных зарядов.

* Только постоянное магнитное поле.

* Электромагнитное поле в отсутствие свободных зарядов и токов проводимости.

* Переменное электромагнитное поле.

265. Задание {{ 95 }} ТЗ № 95

Дана система уравнений Максвелла:

I.

II.

III.

IV.

Какие из этих уравнений ИЗМЕНЯТСЯ
при рассмотрении электромагнитного поля в вакууме?

* II и III

* I и III

* только II

* только III

* III и IV

 


Поделиться с друзьями:

mylektsii.su - Мои Лекции - 2015-2026 год. (1.731 сек.)Все материалы представленные на сайте исключительно с целью ознакомления читателями и не преследуют коммерческих целей или нарушение авторских прав Пожаловаться на материал