Студопедия

Главная страница Случайная страница

КАТЕГОРИИ:

АвтомобилиАстрономияБиологияГеографияДом и садДругие языкиДругоеИнформатикаИсторияКультураЛитератураЛогикаМатематикаМедицинаМеталлургияМеханикаОбразованиеОхрана трудаПедагогикаПолитикаПравоПсихологияРелигияРиторикаСоциологияСпортСтроительствоТехнологияТуризмФизикаФилософияФинансыХимияЧерчениеЭкологияЭкономикаЭлектроника






Фазовое равновесие. Линия равновесия.






Рассмотрим в калестве при­мера процесс массопередачи, в котором аммиак, представляющий собой распределяемый компонент, поглощается из его смеси с воздухом чистой водой, т. е. в виду отсутствия равновесия переходит из газовой фазы Фу, где его концентрация равна y, в жидкую фазу Фж, имеющую начальную концентрацию х = 0. С началом растворения аммиака в воде начнется переход части его молекул в обратном направлении со скоростью, пропорциональной концентрации аммиака в воде и на границе раздела фаз. С течением времени скорость перехода аммиака в воду будет снижаться, а скорость обратного перехода возрастать, причем такой двусторонний переход будет продолжаться до тех пор, пока скорости переноса в обоих направлениях не станет равны друг другу. При равенстве скоростей уста­новится динамическое равновесие, при котором не будет происходить видимого перехода вещества из фазы в фазу.

В условиях равновесия некоторому значению х отвечает строго опре­деленная равновесная концентрация в другой фазе, которую обозначим через у*. Соответственно концентрации у отвечает равновесная концен­трация х*. В самом общем виде связь между концентрациями распреде­ляемого вещества в фазах при равновесии выражается зависимостью:

(8) или (9)

 

Любая из этих зависимостей изображается графически линией равновесия, которая либо является кривой, как показано на рис. 1, либо в частном случае — прямой линией.

На рис. 1, а пока­зана равновесная кривая для системы с компонентами-носителями, вы­ражающая зависимость равновесной концентрации, например в газовой фазе, от концентрации жидкой фазы при Р = const и t = const. На рис. 1, б приведен пример равновесной кривой для процесса ректифи­кации, построенной при Р = const. Каждая точка кривой, как показано на рисунке, соответствует разным температурам (t1, t2 и т. д.).

 

Отношение концентраций фаз при равновесии называется коэффи­циентом распределения:

(10)

Коэффициент распределения выражает тангенс угла наклона линии равновесия и для кривой линии равновесия является величиной пере­менной.

Рабочая линия.

Рабочие концентрации распре­деляемого вещества не равны равновесным, и в действующих аппаратах никогда не достигают равновесных значений.

Зависимость между рабочими концентрациями, распределяемого ве­щества в фазах у = f(x) изображается линией, которая носит название рабочей линии процесса. Вид функции у = f(x), или уравнение рабочей линии в его общем виде, является одинаковым для всех массообменных процессов и получается из их материальных балансов.

 

Рассмотрим схему массообменного аппарата, работающего в режиме идеального вытеснения при противотоке фаз (рис. 2). Пусть в процессе массопередачи из фазы в фазу, например из газовой фазы в жидкую, переходит только один распределяемый компонент (скажем, аммиак).

Сверху в аппарат поступает LH кг/сек одной фазы (жидкой), содержа­щей x н вес. долей распределяемого компонента, а снизу из аппарата удаляется LK кг/сек той же фазы, содержащей x к вес. долей распределяе­мого компонента. Снизу в аппарат поступает GH кг/сек другой фазы (газо­вой) концентрацией ун и сверху удаляется GK кг/сек этой фазы, имеющей концентрацию ук вес. долей распределяемого компонента.

 

Тогда материальный баланс по всему веществу и материальный баланс по распределяемому ком­поненту

 

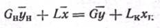
Теперь напишем уравнения материального балан­са для части аппарата от его нижнего конца до неко­торого произвольного сечения, для которого расхо­ды фаз составляют G и L кг/сек, а их текущие кон­центрации равны у и х соответственно.

Материальный баланс по всему веществу и материальный баланс по распределяемому компо­ненту

 

 

Решая это уравнение относительно у, получим

(11)

Уравнение (11) представляет собой уравнение рабочей линии, выражающее связь между рабочими концентрациями распреде­ляемого компонента в фазах для произвольного сечения аппарата.

 


Поделиться с друзьями:

mylektsii.su - Мои Лекции - 2015-2026 год. (0.806 сек.)Все материалы представленные на сайте исключительно с целью ознакомления читателями и не преследуют коммерческих целей или нарушение авторских прав Пожаловаться на материал