Студопедия

Главная страница Случайная страница

КАТЕГОРИИ:

АвтомобилиАстрономияБиологияГеографияДом и садДругие языкиДругоеИнформатикаИсторияКультураЛитератураЛогикаМатематикаМедицинаМеталлургияМеханикаОбразованиеОхрана трудаПедагогикаПолитикаПравоПсихологияРелигияРиторикаСоциологияСпортСтроительствоТехнологияТуризмФизикаФилософияФинансыХимияЧерчениеЭкологияЭкономикаЭлектроника






Молекулярная масса






Нефть и нефтепродукты представляют собой смеси индиви­дуальных углеводородов и других соединений, поэтому они ха­рактеризуются средней молекулярной массой. Средняя молеку­лярная масса многих нефтей 250—300 кг/кмоль. Первый пред­ставитель жидких углеводородов нефти — пентан — имеет молекулярную массу 72 кг/кмоль. У наиболее высокомолекуляр­ных гетероатомных соединений нефти и ее высоковязких фрак­ций молекулярная масса составляет 1200—2000 кг/кмоль. Моле­кулярная масса тем больше, чем больше средняя температура кипения фракции.

Молекулярная масса нефтяных фракций тем больше, чем выше температура кипения. Наряду с этим выделенные из различных нефтей фракции, выкипающие в одном и том же интервале температур, имеют разные молекулярные массы, так как углеводородный состав этих фракций различен.

Для парафиновых углеводородов можно опреде­лять молекулярную массу по формуле Б. П. Воинова:

где — молекулярная масса фракции; — средняя моляр­ная температура кипения светлых нефтяных дистиллятов, опре­деляемая экспериментально и по специальным графикам.

Для нефтяных фракций результаты дает формула Воинова — Эйгенсо- на, выведенная с учетом характеризующего фактора К:

где — молекулярная масса фракции; — средняя моляр­ная температура кипения нефтяных дистиллятов, К; — харак­теризующий фактор.

Была также выведена зависимость молекулярной массы от относительной плотности, которая выражается формулой Крэга:

где — относительная плотность воды и нефтепродукта при температуре 15 °С.

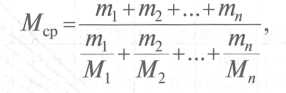
Молекулярная масса смеси нефтяных фракций рассчитыва­ется по правилу аддитивности (от лат. additivus — прибавляемый) исходя из известного их состава и молекулярных масс:

где —мольная и массовая доля нефтяных фракций соот­

ветственно; — молекулярная масса одной фракции, кг/кмоль.

Формула Б. П. Воинова применима только для нормальных алканов с числом углеродных атомов от 4 до 15. Формула Вои­нова — Эйгенсона более универсальна, поскольку содержит ха­рактеризующий химическую природу фактор К, однако обладает недостаточно высокой точностью.

Для расчетов любых углеводородов и нефтяных фракций (с относительной погрешностью менее 1, 5 %) С. А. Ахметовым была предложена следующая формула:

Величины средней молекулярной массы высококипящих фракций используются в структурно-групповом анализе для вы­яснения структуры входящих в их состав углеводородов. Метод [ — показатель преломления света углеводородов ис­следуемой фракции при стандартной температуре 20 °С (здесь

— линия натрия с длиной волны ), — плотность,

— молекулярная масса] для высококипящих фракций являет­ся вполне надежным методом определения их структурного со­става, т. е. для определения числа ароматических и нафтеновых циклов и содержания метановых (парафиновых), нафтеновых и ароматических углеродных атомов.

В основу метода положена линейная зависимость Тадема ме­жду содержанием углерода в кольчатых структурах и показателем преломления, плотностью и величиной, обратной молекулярной массе:

где %С — процентное содержание углерода в кольчатых структу­рах, %; — константы, рассчитываемые на основании дан­ных анализа фракций различных нефтей; — соответст­венно разности между плотностями и коэффициентами прелом­ления испытуемой фракции и предельного гипотетического парафинового углеводорода с цепью бесконечной длины, нахо­дящегося в жидком состоянии (длянего приняты следующие константы: ); М — молекулярная масса фракции.

Для числа колец К выведено аналогичное уравнение:

где — константы, имеющие числовые значения, отли­чающиеся от значений констант

Очевидно, чем уже выделенная фракция нефти, тем больше углеводороды этой фракции будут соответствовать полученной структуре. Для широкой фракции нефти полученная углеводо­родная структура будет отражать весьма усредненный фрагмент. Например, для очень узкой фракции, в которой по методу было установлено, что процентное содержание углерода, входя­щего в ароматические структуры, в нафтеновые —

в парафиновые — углеводород может иметь

следующую вероятную структуру:

При экспериментальном определении молекулярной массы пользуются криоскопическим и эбулиоскопическим методами. Криоскопический метод определения молекулярной массы рас­творенного вещества основан на измерении понижения темпе­ратуры замерзания раствора по сравнению с температурой за­мерзания чистого растворителя. В качестве чистого растворителя используют бензол. Эбулиоскопический метод определения моле­кулярной массы растворенного вещества основан на превыше­нии температуры точки кипения раствора в сравнении с темпе­ратурой точки кипения чистого растворителя.



Поделиться с друзьями:

mylektsii.su - Мои Лекции - 2015-2026 год. (1.589 сек.)Все материалы представленные на сайте исключительно с целью ознакомления читателями и не преследуют коммерческих целей или нарушение авторских прав Пожаловаться на материал