Студопедия

Главная страница Случайная страница

КАТЕГОРИИ:

АвтомобилиАстрономияБиологияГеографияДом и садДругие языкиДругоеИнформатикаИсторияКультураЛитератураЛогикаМатематикаМедицинаМеталлургияМеханикаОбразованиеОхрана трудаПедагогикаПолитикаПравоПсихологияРелигияРиторикаСоциологияСпортСтроительствоТехнологияТуризмФизикаФилософияФинансыХимияЧерчениеЭкологияЭкономикаЭлектроника






Критические параметры






Температура, давление и объем при критическом состоянии очень важны для физики нефти, особенно в связи с современными высоко­температурными процессами при высоком давлении. Критическим со­стоянием вещества называется такое, при котором исчезает различие (граница) между его жидкой и паровой фазами, т. е. они имеют одни и те же основные свойства. Для каждого вещества существует такая тем­пература, выше которой оно никаким повышением давления не может быть переведено в жидкость. Эта температура называется критической температурой Ткр. Давление насыщенных паров, соответствующее кри­тической температуре, называется критическим давлением Ркр. Объем паров при критической температуре и давлении называется критичес­ким объемом.

Ниже в качестве примера приведены критические параметры неко­торых веществ:

Критические параметры для нефтяных фракций, состоящих из большого числа углеводородов, часто называются псевдокритическими, т. е. критическими точками такого чистого компонента, для которого соотношения Т-Р- V идентичны таковым смеси. Критические парамет­ры определяются по эмпирическим формулам:

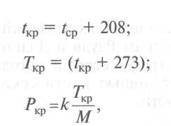
для алифатических углеводородов

для ароматических

где — критическая температура, °С; — средняя температура кипения нефтяной фракции, °С; — критическая температура, К; М — молекулярная масса фракции; к — постоянная, равная для парафиновых углеводородов 5, 0—5, 3, для нафтеновых 6, 0 и ароматических 6, 5—7, 0; обычно для нефтепродуктов принимается значение к = 5, 5;

— критическое давление, МПа.

Для нефтяных фракций при известных величинах плотности и сред­ней температуры кипения критические температуры и давления удобно находить графическим путем (рис. 3.9).

Состояния T-P-V, при которых вещества находились бы в удобных сравнимых условиях, называются приведенными. Приведенные величи­ны определяются по формулам:

 

В приведенных состояниях различные вещества при равных приве­денных температурах и давлениях имеют равные приведенные объемы.



Поделиться с друзьями:

mylektsii.su - Мои Лекции - 2015-2026 год. (0.918 сек.)Все материалы представленные на сайте исключительно с целью ознакомления читателями и не преследуют коммерческих целей или нарушение авторских прав Пожаловаться на материал