Студопедия

Главная страница Случайная страница

КАТЕГОРИИ:

АвтомобилиАстрономияБиологияГеографияДом и садДругие языкиДругоеИнформатикаИсторияКультураЛитератураЛогикаМатематикаМедицинаМеталлургияМеханикаОбразованиеОхрана трудаПедагогикаПолитикаПравоПсихологияРелигияРиторикаСоциологияСпортСтроительствоТехнологияТуризмФизикаФилософияФинансыХимияЧерчениеЭкологияЭкономикаЭлектроника






Методика выполнения Задания № 7






«Задача о назначениях. Оптимизационное моделирование»

Задача о назначениях - частный случай транспортной задачи. Такая задача решается при определения маршрута передвижения людей, автомашин; при распределении людей на работы, должности; при распределении групп по аудиториям и т.д.

Условия задачи:

Имеется n городов. Выехав из одного из них, коммивояжер должен объехать все и вернуться в исходный город. В каждый город можно заезжать только один раз, и, следовательно, маршрут коммивояжера должен образовывать замкнутый цикл без петель (например, если есть 6 городов 1, 2, 3, 4, 5 и 6, то 1 - 4 -2 - 1 и 3 - 5 - 6 - 3 - подциклы (петли). Требуется найти кратчайший замкнутый маршрут коммивояжера, если известна матрица расстояний между городами1.

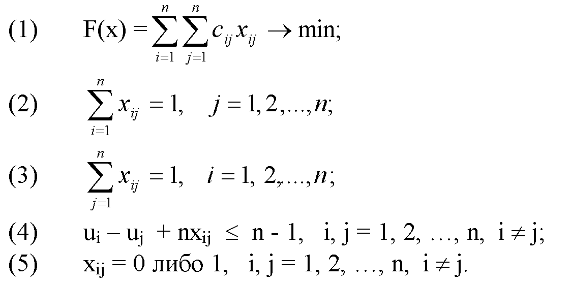
Математическая модель


 

Здесь переменная xij принимает значение 1, если коммивояжер переезжает из города i в город j
(i, j = 1, 2,..., n, i ≠ j) и 0 в противном случае. Условие (1) представляет собой оптимизируемую функцию, где cij расстояние между городами (i, j = 1, 2,., n, i ≠ j), причем, в общем случае cij ≠ cij; условие (2) означает, что коммивояжер выезжает из каждого города только один раз; (3) - что он въезжает в каждый город только один раз; (4) обеспечивает замкнутость маршрута и отсутствие петель, где ui и uj - некоторые вещественные значения i, j = 1, 2,..., n, i ≠ j.

 

Постановка задачи:

Имеется 6 пунктов. Коммивояжер должен посетить их по одному разу и вернуться в исходный город. Найти кратчайший маршрут. Расстояния между городами заданы в виде матрицы чисел, представленной в Таблице 1:

 

Таблица 6. Вариант задания №1. Матрица расстояний между городами.

-          
  -        
    -      
      -    
        -  
          -

 

Выполнение задания:

1. Первым шагом выполнения задания было ввод исходных данных в MS Excel следующим образом:

 

 

 

 

Рисунок 4. Фрагмент рабочего листа исходных данных и ограничений

· Диапазон ячеек B2: G7 содержит исходную матрицу расстояний между городами, в которой расстояние от города до самого себя приняты достаточно большими, по сравнению с другими расстояниями (например, 1000). Данный прием замены нулевых расстояний на бесконечные используется в классическом методе «ветвей и границ» решения задач данного типа с целью заранее исключить из решения нулевые по расстоянию переходы, которые хотя и являются наикратчайшими, но не допустимы по смыслу задачи.

· Диапазон ячеек B9: G14 предназначен для плана возможных переходов между городами, который будет получен в результате решения задачи.

· В ячейках B15: G15 и H9: H14 находятся формулы расчета количества въездов и выездов из городов

Рисунок 4. Фрагмент рабочего листа исходных данных и ограничений

 

· В ячейке D23 - целевая функция, использующая вспомогательные промежуточные расчеты блока D17: D22

Рисунок 5. Фрагмент рабочего листа исходных данных и ограничений

 

2. Следующим шагом был выполнен поиск решения, используя ограничения:

Таблица 7. Ограничения к заданию 7.

Поле «Ссылка Тип Поле Примечания
на ячейку» ограничения «Ограничение»  
$B$15: $G$15 =   Ограничения на въезды - условие (2)
$H$9: $H$14 =   Ограничения на выезды - условие (3)
$B$9: $G$14 = двоичное Условие(5)

3. Результат выполнения поиска решения - на Рис. 5.

При упорядочении найденного решения получаем, что в качестве оптимального плана данной задачи найдены две цепочки (петли) переходов. Следовательно, найденное решение не удовлетворяет условиям задачи ввиду наличия в нем подциклов (петель). Было введено дополнительное ограничение, исключающее наличие найденных в плане петель. Для этого выполнены следующие действия:

• В любой ячейке, например, D25 подсчитана сумму найденных переходов

= CУMM(E9; B10; F11; C12; G13; D14), которая равна 6.

• Проведен повторный поиск решения, добавив новое ограничение D25 < 5.

Особенностью задач о назначениях является то, что переменные (значения изменяемых ячеек) являются булевыми переменными, т.е. могут принимать значение «0» либо «1».

 

 


Поделиться с друзьями:

mylektsii.su - Мои Лекции - 2015-2026 год. (1.008 сек.)Все материалы представленные на сайте исключительно с целью ознакомления читателями и не преследуют коммерческих целей или нарушение авторских прав Пожаловаться на материал