Студопедия

Главная страница Случайная страница

КАТЕГОРИИ:

АвтомобилиАстрономияБиологияГеографияДом и садДругие языкиДругоеИнформатикаИсторияКультураЛитератураЛогикаМатематикаМедицинаМеталлургияМеханикаОбразованиеОхрана трудаПедагогикаПолитикаПравоПсихологияРелигияРиторикаСоциологияСпортСтроительствоТехнологияТуризмФизикаФилософияФинансыХимияЧерчениеЭкологияЭкономикаЭлектроника






Вопрос 5. Эффективность использования основных фондов.






В зависимости от основного назначения и характера выполняемых функций основные фонды предприятий можно подразделить на виды:

1) здания - это архитектурно-строительные объекты, создающие условия для труда, проживания, социально-культурного обслу­живания, хранения материальных ценностей;

2) сооружения - это инженерно-строительные объекты, создающие условия для осуществления процесса производства и выполнения технических функций, не связанных с изменением предметов труда (эстакады, навесы и т.п.);

3) передаточные устройства - это устройства, с помощью кото­рых производится передача электрической, тепловой или меха­нической энергии от машин-двигателей к рабочим машинам, а также передача жидких и газообразных веществ (электросети, трубопроводы и т.п.);

4) машины и оборудование:

- силовые машины и оборудование - это машины-генераторы для производства электрической и тепловой энергии, а также все машины-двигатели (паровые котлы, электродвигатели, силовые

. трансформаторы и т.п.),

- рабочие машины и оборудование - это все виды рабочих машин, агрегатов и оборудования, предназначенных для механического, химического и термического воздействия на предметы труда при изготовлении продукции или выполнении работ (услуг) произ­водственного характера, а также для перемещения предметов труда в процессе производства (конвейеры, подъемники, краны и т.п.),

- измерительные и регулирующие приборы и устройства и лабора­торное оборудование - это различные приборы и устройства, ис­пользуемые для всевозможных измерений, пульты автоматиче­ского управления, контроля и сигнализации,

- вычислительная техника - это различные ЭВМ и периферийное оборудование,

- прочие машины и оборудование - это машины и оборудование, не вошедшие в перечисленные группы;

5) транспортные средства — это средства, используемые для пе­редвижения людей и грузов, т.е. подвижной состав всех видов транспорта, кроме конвейеров, транспортеров и других средств, включаемых в состав производственного оборудования;

6) инструмент - это все виды ручных и механизированных ору­дий, а также различные приспособления для обработки предме­тов труда (крепления, монтажа и т.п.);

7) производственный инвентарь и принадлежности - это раз­личные предметы, служащие для облегчения выполнения произ­водственных операций (рабочие столы, верстаки и т.п.), создания условий для безопасной работы (ограждения, вентиляторы и т.п.), хранения предметов труда (инвентарная тара, стеллажи и т.п.);

8) хозяйственный инвентарь — это предметы конторского и хо­зяйственного назначения (шкафы, столы, сейфы, противопожар­ный инвентарь и т.п.);

9) многолетние насаждения - это искусственные насаждения: озе­ленительные и декоративные, снегозащитные полосы и т.п.;

10) прочие основные фонды - это, например, библиотечные фонды.

В соответствии с действующим порядком к основным фондам (сред­ствам) предприятий не относятся и должны учитываться в составе средств в обороте:

1)предметы, имеющие срок службы менее одного года, независимо от их стоимости,

2)предметы, стоимостью ниже установленного лимита (за единицу) независимо от срока службы.

Общепринятым является изучение структуры основных фондов с точки зрения пассивной и активной их частей.

К пассивной части основных фондов относят здания, сооружения, хозяйственный инвентарь и т.п.

К активной части основных фондов относят машины и оборудо­вание, транспортные средства и т.п.

Удельный вес активной части основных фондов (в % к общей стои­мости фондов предприятия) характеризует прогрессивность структуры ос­новных фондов предприятия в наиболее общем виде.

Возрастная структура основных фондов характеризуется удель­ным весом (в %) различных возрастных групп основных фондов в их об­щей стоимости.

Первоначальная стоимость основных фондов включает стоимость (цену) приобретения данного вида оборудования (или постройки зданий, сооружений), транспортные расходы по доставке оборудования от изгото­вителя к месту установки (тариф на перевозку и стоимость погрузочно-разгрузочных работ), стоимость произведенных строительно-монтажных работ в месте постоянной эксплуатации (фундамент, монтаж, наладка и т.п.). Первоначальная (балансовая или восстановительная) стоимость основных фондов служит базой для определения степени износа и сумм амортизаци­онных отчислений в денежном выражении.

Остаточная стоимость основных фондов - это их первоначаль­ная стоимость за вычетом износа. Она отражает реально сохранившуюся стоимость основных фондов по истечении определенного периода их экс­плуатации и произведенные отчисления амортизационных сумм.

Величина износа основных фондов определяется исходя из норм амортизации на полное восстановление основных фондов. При этом в рас­чет принимаются первоначальная стоимость объекта основных фондов, время нахождения его в эксплуатации и норма амортизационных отчисле­ний на полное восстановление (реновацию).

В целях приведения стоимости основных фондов к современным ус­ловиям воспроизводства, а также определения реальной величины износа необходимо периодически переоценивать основные фонды предприятий. Порядок переоценки основных фондов устанавливается в соответствую­щих инструктивных материалах.

Восстановительная стоимость основных фондов - это стоимость их воспроизводства (возобновления) в условиях сегодняшнего дня, кото­рая выражается в действующих ценах.

Восстановительная стоимость основных фондов устаревших конст­рукций определяется с учетом их морального износа, т.е. с учетом умень­шения стоимости их воспроизводства в связи с ростом производительно­сти общественного труда и созданием новых, более современных аналогичных образцов.

Предприятие технического сервиса учитывает наличие и движение всех основных фондов, числящихся на его балансе, по их первоначальной (восстановительной) стоимости.

В целях контроля за движением основных фондов, проверки досто­верности и полноты данных бухгалтерского учета и их соответствия фак­тическому состоянию объектов предприятие периодически проводит ин­вентаризацию. Инвентаризация основных фондов, как правило, проводит­ся один раз в год.

Основные производственные фонды - это средства труда, которые многократно участвуют в производственном процессе, выполняя качест­венно различные функции. Постепенно изнашиваясь, они переносят свою стоимость на создаваемый продукт по частям в течение ряда лет в виде амортизационных отчислений. В их состав не включаются средства труда, не введенные в действие, малоценные (стоимостью менее 1 тыс. руб. неза­висимо от срока службы) и быстроизнашивающиеся (срок службы до од­ного года независимо от их стоимости) предметы.

Основные производственные фонды определяют потенциальные возможности выпуска продукции (работ, услуг), технико-экономический уровень и эффективность производства и служат базой для расчета произ­водственной мощности предприятия.

Основные непроизводственные фонды - это объекты длительного применения, которые функционируют в непроизводственной сфере, т.е. предназначены для целей непроизводственного потребления. Они сохра­няют свою натуральную форму и утрачивают свою стоимость по частям в процессе их потребления. К ним относятся здания и сооружения непроиз­водственного характера, хозяйственный инвентарь жилищного и комму­нального хозяйства предприятия, другие объекты социально-культурной сферы.

Эти фонды не участвуют в производственном процессе, поэтому их стоимость не переносится на готовую продукцию (работы, услуги). Их по­стоянно нарастающий износ возмещается за счет фонда социального раз­вития предприятия.

Активная часть основных производственных фондов - это со­ставная и ведущая часть основных производственных фондов, которая служит базой для оценки технического уровня производственных мощно­стей. В целом по предприятиям (без учета отраслевой специфики) актив­ная часть основных производственных фондов включает в себя переда­точные устройства, силовые машины и оборудование, рабочие машины и оборудование и т.п.

Пассивная часть основных производственных фондов - это вспо­могательная часть основных производственных фондов (здания, сооруже­ния и т.п.), обеспечивающая процесс работы активных элементов.

Так, оборудование — это активная составная часть основных произ­водственных фондов, включающая орудия труда, используемые для непо­средственного воздействия на предметы труда. Различают наличное, уста­новленное и фактически работающее оборудование. Сооружения - это пассивная составная часть основных производственных фондов, вклю­чающая инженерно-строительные объекты, необходимые для осуществле­ния процесса производства и не связанные с изменением предметов труда.

Основные производственные фонды, которые имеются у предпри­ятия технического сервиса, не остаются неизменными, так как вводятся в действие новые объекты основных производственных фондов и по разным причинам происходит выбытие действующих основных производствен­ных фондов.

Предприятия технического сервиса имеют право приобретать необ­ходимые им для производственно-хозяйственной деятельности оборудо­вание, машины и другие материальные ценности, подлежащие отнесению к основным производственным фондам, в том числе и за счет банковских кредитов. Эти материальные ценности приобретаются по договорам по­ставки, заключаемым предприятием с поставщиками. Приемка и зачисле­ние в состав основных производственных фондов машин, оборудования, зданий и т.п. оформляются специальными актами.

Для оформления приемки поступающих на предприятие техническо­го сервиса и вводимых объектов основных производственных фондов ру­ководитель предприятия назначает специальную комиссию, в состав кото­рой, как правило, входят главный механик, представитель технического отдела и начальник подразделения (цеха), которому будет передан для эксплуатации данный объект. Акт приемки утверждается руководителем предприятия и передается в бухгалтерию, которая производит соответст­вующие записи в инвентарные книги и зачисляет принятые объекты в со­став основных производственных фондов предприятия.

Когда это целесообразно, предприятие технического сервиса имеет право сдавать в аренду другим предприятиям и организациям временно неиспользуемые производственные, складские и иные помещения, а также оборудование и транспортные средства.

Предприятие технического сервиса может продавать другим пред­приятиям и организациям свои излишние и неиспользуемые основные производственные фонды.

В случаях, когда объекты основных производственных фондов утра­тили свое производственное назначение и непригодны к дальнейшему ис­пользованию в результате износа и выработки установленных сроков экс­плуатации, они подлежат ликвидации и списанию с баланса предприятия.

Ликвидация основных производственных фондов - это списание основных производственных фондов с баланса предприятия в связи с фи­зическим износом, моральным устареванием, отсутствием производствен­ной потребности и т.п.

Подлежат списанию с баланса предприятия основные производст­венные фонды, подвергшиеся уничтожению в результате стихийных бед­ствий и аварий, машины и оборудование морально устаревшие, конструк­тивно несовершенные, утратившие работоспособность, если их восстанов­ление, модернизация и дальнейшая эксплуатация невозможны, технически и экономически нецелесообразны и они не могут быть реализованы. Спи­сываются с баланса здания и сооружения, которые пришли в ветхое со­стояние или снесены в связи со строительством новых объектов.

Для установления технического состояния и определения непригод­ности объектов основных производственных фондов для дальнейшей экс­плуатации, подтверждения экономической нецелесообразности их восста­новления, ремонта и модернизации приказом руководителя предприятия создается комиссия (главный инженер, главный бухгалтер, главный меха­ник, главный энергетик и др.). Комиссия оформляет документацию для списания пришедших в негодность и утративших свое производственное назначение объектов основных производственных фондов и подписывает специальный акт о ликвидации. В акте приводятся все необходимые дан­ные, характеризующие списываемый объект (год изготовления или постройки, дата получения и ввода в эксплуатацию, первоначальная стои­мость, сумма начисленного износа по данным бухгалтерского учета, коли­чество капитальных ремонтов, основные технико-эксплуатационные пока­затели объекта). Утвержденный акт служит основанием для списания с ба­ланса негодных и утративших свое значение основных производственных фондов.

Убыток от ликвидации основных производственных фондов опреде­ляется как разность между суммой остаточной стоимости ликвидирован­ных основных производственных фондов, расходов по их ликвидации и стоимостью поступивших материальных ценностей от ликвидации этих основных производственных фондов.

Стоимостная оценка основных производственных фондов - это определение стоимости основных производственных фондов. Различают несколько видов стоимостной оценки:

1)первоначальная стоимость - определяется стоимостью приобре­тения оборудования (ценой), затратами на его транспортировку, монтаж и рассчитывается по ценам приобретения. Для капитального строительства -это сметная стоимость сданного в эксплуатацию объекта;

2) остаточная стоимость - это часть стоимости основных производ­ственных фондов, которая не переносится на готовую продукцию (работы, услуги) в результате досрочного прекращения эксплуатации этих фондов и списания их с баланса предприятия:

где Цп - первоначальная стоимость; На - норма амортизации; Тэк - период эксплуатации основных производственных фондов, лет.

3) балансовая стоимость - это первоначальная стоимость основных производственных фондов (основного капитала), которая включает стои­мость приобретения орудий труда (для зданий и сооружений - это сметная стоимость строительства) с учетом их транспортировки и монтажа. Балан­совая стоимость фиксируется в балансе предприятия и в течение всего срока службы основного капитала остается неизменной и служит базой для начисления амортизации;

4)среднегодовая стоимость - это показатель, отражающий измене­ние стоимости основных производственных фондов в течение года в ре­зультате ввода новых и выбытия физически изношенных и морально уста­ревших основных производственных фондов;

5) ликвидационная стоимость - это стоимость реализации физически изношенных и морально устаревших основных производственных фондов предприятия, как правило, по цене металлолома. Если ликвидационная стоимость больше остаточной стоимости ликвидируемых основных производственных фондов, то прибыль направляется в доход предприятия, если меньше, то потери зачисляются в убыток, а при оценке эффективно­сти замены оборудования они приплюсовываются к цене приобретенной для замены техники.

Расчет среднегодовой стоимости основных производственных фон­дов может быть осуществлен двумя методами.

По первому методу ввод и выбытие основных производственных фондов приурочиваются на конец анализируемого периода:

,

где ОПФср.г - среднегодовая стоимость основных производственных фон­дов; ОПФн.г - стоимость основных производственных фондов на начало года;

ОПФвв.i, ОПФвб.i - соответственно стоимость вводимых и ликвиди­руемых основных производственных фондов в месяце (принимается на начало месяца);

Т, - период действия основных производственных фондов соответственно с момента их ввода или до момента выбытия;

т, п - соот­ветственно количество мероприятий по вводу и выбытию основных про­изводственных фондов.

По второму методу ввод и выбытие основных производственных фондов приурочиваются к середине месяца, а средняя хронологическая принимает вид:

где ОПФi - стоимость основных производственных фондов на 1-е число каждого месяца, начиная с февраля (i=2) и завершая декабрем; ОПФк.г - стоимость основных производственных фондов на конец года.

Для характеристики наличия и движения основных производствен­ных фондов на предприятии используются следующие показатели.

Прирост основных производственных фондов за данный период - это разность между стоимостью вновь поступивших и выбывших (списан­ных с баланса предприятия) основных производственных фондов в данном периоде:

Коэффициент прироста основных производственных фондов -это коэффициент, определяемый как отношение прироста стоимости ос­новных производственных фондов к их стоимости на конец анализируемо­го периода:

Коэффициент ввода (обновления) основных производственных фондов - это отношение стоимости вновь введенных основных производ­ственных фондов к их стоимости на конец анализируемого периода:

Коэффициент выбытия основных производственных фондов -

это отношение стоимости ликвидированных (списанных с баланса пред­приятия) основных производственных фондов к их стоимости на начало анализируемого периода:

Основные производственные фонды, участвующие в производствен­ном процессе, постепенно утрачивают свои полезные свойства орудий и средств труда, т.е. подвергаются физическому и моральному износу.

Износ физический (материальное снашивание) проявляется в двух формах:

1) эксплуатационный износ - это утрат технико-производственных свойств орудий и средств труда, снизанный с их производствен­ным потреблением в процессе эксплуатации;

2)естественный износ - непосредственно не связан с эксплуатаци­ей основных производственных фондов (коррозия и старение ме­талла, разрушение дерева грибком и т.п.). Он происходит под влиянием различных внешних природных факторов - атмосфер­ных осадков, влажности, температуры и т.п.

Следовательно, независимо от того бездействуют или используются основные производственные фонды, они постепенно подвергаются физи­ческому износу. Степень физического износа зависит от интенсивности и сроков эксплуатации основных производственных фондов, условий при­менения и содержания, квалификации обслуживающего персонала и т.п.

Частичный износ устраняется в результате ремонта, задача которого -возвращать основным производственным фондам их первоначальные тех­нико-эксплуатационные свойства.

Полный износ возмещается заменой физически изношенных основ­ных производственных фондов. Для активной части - что приобретение нового оборудования, для зданий и сооружении - это капитальное строи­тельство.

Для характеристики степени физического износа основных фондов используются следующие показатели.

Коэффициент физического износа основных фондов - это показа­тель, отражающий долю первоначальной стоимости основных фондов, пе­ренесенную на готовую продукцию (работы, услуги):

где На - норма амортизации в долях единицы; Тэк — количество лет экс­плуатации основных фондов.

Пример. Производственное оборудование эксплуатировалось в тече­ние трех лет при норме амортизации 20 %. Определить коэффициент фи­зического износа оборудования.

Решение.

Кфи= 0, 2-3 = 0, 6 = 60%.

Коэффициент годности основных фондов - это коэффициент, ха­рактеризующий долю остаточной стоимости, приходящуюся на 1 руб. пер­воначальной стоимости основных фондов:

Этот показатель отражает удельный вес неизношенной части основных фондов в их общей стоимости (балансовой, восстановительной).

Важное значение для характеристики и анализа физического состоя­ния различных видов основных фондов имеет расчет и сопоставление нор­мативных и фактических показателей срока их службы.

Нормативный срок службы основных фондов:

где На - норма амортизации данного вида (объекта) основных фондов в %; k а - поправочный коэффициент, предусматривающий увеличение (умень­шение) нормы амортизации на полное восстановление фондов с учетом сменности, условий работы, агрессивности среды и т.п. Остаточный срок службы основных фондов:

Тонн·Кфин(1-Кфи).

Срок службы оборудования - это период с начала эксплуатации оборудования (начала амортизационного периода) до его полного физиче­ского износа (завершения амортизационного периода). Установление эко­номически обоснованного срока службы оборудования является объек­тивной процедурой, позволяющей выявить наиболее достоверную норму амортизации.

Если срок службы оборудования завышен, то физический износ на­ступает прежде, чем стоимость оборудования полностью переносится на готовую продукцию (работы, услуги). В случае занижения срока службы стоимость оборудования полностью переносится на готовую продукцию до наступления полного физического износа оборудования.

Ремонт основных производственных фондов - это организацион­но-технические мероприятия по обеспечению работоспособности обору­дования путем замены или ремонта вышедших из строя деталей и узлов, а также проведение текущих и капитальных ремонтов зданий и сооружений.

Наряду с физическим износом основные производственные фонды подвергаются моральному износу, который связан с научно-техническим прогрессом, совершенствованием и обновлением технологии и организа­ции производства, внедрением прогрессивных видов техники и материа­лов.

Износ моральный - возникает вследствие экономического процесса, обусловленного снижением общественно необходимых затрат на произ­водство машин и созданием новых, более совершенных орудий труда. Мо­ральный износ проявляется в двух формах.

Первая форма морального износа связана с совершенствованием техники и технологии, внедрением прогрессивных материалов, которые обеспечивают удешевление воспроизводства средств труда, аналогичных действующим средствам. Повышение производительности труда, уровня технической оснащенности заводов-изготовителей ведет к сокращению трудовых затрат и, следовательно, к снижению стоимости выпускаемой продукции. При этом существующие орудия труда утрачивают часть стои­мости прямо пропорционально снижению затрат на производство анало­гичных орудий труда, но полностью сохраняют свои потребительские свойства. В связи с этим применяющиеся производственные фонды как бы обесцениваются, утрачивая часть своей стоимости.

Вторая форма морального износа связана с созданием и внедрением в производство принципиально новых, более совершенных и более эконо­мичных видов машин, оборудования, зданий, сооружений. В этом случае применение действующих морально устаревших производственных фон­дов становится экономически неэффективным и они должны быть, до того как наступит срок их физического износа, заменены новыми, более про­грессивными образцами, либо подвергнуты модернизации и реконструк­ции. Таким образом, эта форма морального износа является следствием научно-технического прогресса, благодаря которому появляются более со­временные орудия труда. 28

Вопрос о моменте наступления морального износа отдельных объек­тов основных производственных фондов и о целесообразности их замены должен решаться в каждом конкретном случае на основе расчетов эконо­мической эффективности применения нового, более прогрессивного обо­рудования и машин. Экономичность новых орудий труда зависит от того, в какой степени при их применении уменьшаются затраты живого и ове­ществленного труда на производство единицы продукции (работ, услуг).

При укрупненной оценке морально изношенными можно считать орудия труда, при использовании которых удельные приведенные затраты выше. Так, базовая модель будет морально изношенной при условии:

где Си , Сб - себестоимость годового объема производимой продукции (ра­бот, услуг) соответственно для новой и базовой модели оборудования;

На.н, На.б - норма амортизации соответственно для новой и базовой модели;

ПРн, ПРб - производительность соответственно новой и базовой модели;

Цн, Цб - цена соответственно новой и базовой модели.

Реновация - это процедура замены физически изношенного и мо­рально устаревшего оборудования на аналогичное или более совершенное.

Под амортизацией понимают процесс перенесения стоимости из­ношенной части основных производственных фондов на создаваемую продукцию (работы, услуги). Этот процесс находит свое выражение во включении установленной в соответствии с нормативами части стоимости основных фондов (т.е. амортизационных отчислений) в себестоимость производимой продукции (работ, услуг). Таким образом, в результате реа­лизации продукции (работ, услуг) предприятие получает определенную сумму средств, которые могут быть использованы в дальнейшем для вос­производства изношенных основных фондов (приобретение, строительство).

Амортизация не начисляется по объектам, не относящимся к основ­ным фондам.

Различают понятия «сумма» и «норма» амортизации.

Сумма амортизации - выражает в денежной форме величину изно­са основных фондов за определенный период времени (год, квартал, ме­сяц). Сумма амортизации определяется в соответствии с установленными нормами. Сумма начисленной амортизации ежемесячно относится на се­бестоимость выпущенной продукции (работ, услуг).

Норма амортизации - это установленный размер амортизационных отчислений за определенный период времени по конкретному виду основ­ных фондов, выраженный в % к их балансовой стоимости.

По основным фондам, вновь поступившим в эксплуатацию, начис­ление амортизации начинается с 1-го числа месяца, следующего за меся­цем поступления, а по выбывшим основным фондам прекращается с 1-го числа месяца, следующего за месяцем выбытия.

Амортизационные отчисления составляют целевой фонд предпри­ятия и хранятся на счете в банке. По мере необходимости накопленные средства данного целевого фонда расходуются строго по прямому назна­чению.

Амортизационный фонд - это денежные средства, предназначен­ные для замены основных фондов. Формируется на основе амортизацион­ных отчислений, т.е. части денежных средств, поступающих на расчетный счет предприятия за реализованную продукцию (работы, услуги).

Наиболее обобщающим показателем, характеризующим уровень ис­пользования совокупности действующих основных производственных фондов, является показатель фондоотдачи. Этот показатель определяется отношением объема выпущенной продукции (работ, услуг) в денежном (натуральном) выражении за определенный период (год) к общей средне­годовой балансовой (без вычета износа) стоимости основных производст­венных фондов предприятия.

Фондоотдача - это обобщающий показатель, характеризующий уровень эффективности использования основных производственных фон­дов. Рассчитывается как отношение стоимости валовой продукции (работ, услуг) к среднегодовой стоимости основных производственных фондов:

При расчете показателя фондоотдачи в стоимости основных произ­водственных фондов учитываются не только собственные, но и арендуе­мые основные производственные фонды. Не учитываются основные про­изводственные фонды, находящиеся на консервации, резервные и сданные в аренду другим предприятиям.

В целях более глубокого анализа показатели фондоотдачи рассчиты­ваются не только относительно всей стоимости основных производствен­ных фондов, но и отдельно на единицу стоимости активной части основ­ных производственных фондов.

Пример. Объем валовой продукции предприятия за год составил 198 тыс. руб., а среднегодовая стоимость основных производственных фондов - 180 тыс. руб. Рассчитать фондоотдачу.

Решение.

руб.

Это значит, что каждый рубль основных производственных фондов пред­приятия «дает» 1 руб. 10 коп. продукции. Но наращивание или сокраще­ние предприятием своих основных производственных фондов не означает, что с каждого рубля вводимых (сокращаемых) основных производствен­ных фондов оно будет гарантированно получать (терять) по 1 руб. 10 коп. товарной продукции. Новая ситуация дает и новые показатели.

Обратным фондоотдаче показателем является фондоемкость про­дукции. Она определяется отношением среднегодовой стоимости основ­ных производственных фондов к объему выпущенной за период (год) про­дукции (товарной, чистой) в денежном или натуральном выражении.

Фондоемкость - это показатель, обратный фондоотдаче. Рассчиты­вается как отношение среднегодовой стоимости основных производствен­ных фондов к стоимости произведенной продукции (работ, услуг) за рас­сматриваемый период:

Фондовооруженность труда - это показатель, характеризующий степень оснащенности труда основными производственными фондами. Рассчитывается как среднегодовая стоимость основных производственных фондов, приходящаяся на одного среднесписочного работника предпри­ятия:

Пример. Среднегодовая стоимость основных производственных фондов предприятия составила 180 тыс. руб., а среднесписочная числен­ность производственного персонала - бчел. Рассчитать фондовооружен­ность.

тыс. руб.

Индекс - это экономический и статистический показатель, с помо­щью которого оцениваются изменения в ходе развития экономического процесса в целом и отдельных его составляющих.

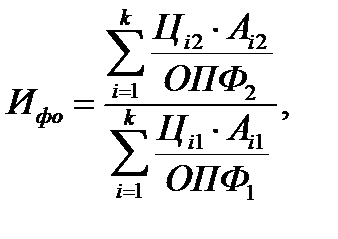
Индекс фондоотдачи - это показатель, отражающий динамику фондоотдачи в последующем году по сравнению с предыдущим. Рассчи­тывается по формуле:

где Цi1, Цi2 - цена единицы продукции соответственно в предыдущем и последующем году;

Аi1, Аi2 - объем выпускаемой продукции (работ, услуг) i -ой номенклатуры в натуральном выражении соответственно в предыду­щем и последующем году; ОПФ1, ОПФ2 - стоимость основных фондов (среднегодовая) соответственно в предыдущем и последующем году; k — количество номенклатурных позиций выпускаемой продукции (работ, ус­луг).

 


Поделиться с друзьями:

mylektsii.su - Мои Лекции - 2015-2026 год. (2.512 сек.)Все материалы представленные на сайте исключительно с целью ознакомления читателями и не преследуют коммерческих целей или нарушение авторских прав Пожаловаться на материал