Студопедия

Главная страница Случайная страница

КАТЕГОРИИ:

АвтомобилиАстрономияБиологияГеографияДом и садДругие языкиДругоеИнформатикаИсторияКультураЛитератураЛогикаМатематикаМедицинаМеталлургияМеханикаОбразованиеОхрана трудаПедагогикаПолитикаПравоПсихологияРелигияРиторикаСоциологияСпортСтроительствоТехнологияТуризмФизикаФилософияФинансыХимияЧерчениеЭкологияЭкономикаЭлектроника






Методические указания к выполнению работы






1. Структурная схема классификации ленточных конвейеров должна отражать их основные отличительные признаки, определяющим при этом является область применения.

Структурная схема должна обязательно завершаться конкретными примерами конвейеров с расшифровкой их условного обозначения. На­пример: 1ЛТ80 - ленточный телескопический конвейер 1-го типоразме­ра с шириной ленты 80 см.

2. По указанию преподавателя для одной из моделей конвейеров (табл. 2.3) необходимо составить:

- техническую характеристику конвейера (приемная способность, максимальная производительность, скорость ленты, мощность привода, тип ленты, число приводов);

- кинематическую схему конвейера с указанием основных частей;

- схему роликового става.

3. На модельной установке в лаборатории, ознакомиться с конст­рукцией и принципом работы автоматического натяжного устройства при дистанционном управлении. При помощи натяжного устройства 10 (рис.2.1) произвести натяжение или ослабление ленты (максимальное давление в гидроситсеме блока ЭКМ не должно превышать 1, 2 МПа).

4. Отключить напряжение на щите лаборатории Т и ГПК. Произ­вести настройку ЭКМ блока управления. Величина натяжений опреде­ляется по согласованию с преподавателем из условий: Smax ≤ 10 кН, ∆ S = = Smax - Smin ≥ 2 кН, Sср, = ($таx+ Smin) / 2, H. Выбрать как результат решения задачи для заданного варианта конвейера: по мощности двигателя Nдв, кВт и тяговому фактору е, определить необходимое натяжение в точке сбегания:

.

Затем по выбранной ∆ S и определенной величине Scp находятся Smax и Smin/

Рассчитать показания манометров, соответствующие усилиям Smia, Smax, Scp.1 и Sср.2, по формуле

p =

где Кп - коэффициент потерь на блоках, Кп= (1, 05)2;

dn - диаметр поршня в гидроцилиндре, dn = 0, 06 м;

2 - количество ветвей каната.

Для работы схемы в автоматическом режиме необходимо задаться не средним значением Рср, а интервалом, где Рср1 < Рср < Рср.2. Ориенти­ровочно принимаем, что

Рср.2ср.1 =(0, 15- 0, 2), МПа.

Проводится установка контактов ЭКМ в соответствии со схемой и таблицей настройки.

5. Подается напряжение на вход пускателя ПО. Производится про­верка работы натяжного устройства в автоматическом режиме. Натяж­ным винтом создается натяжение S < Smin (Р < Pmin), переключатель А-Р переводится в положение «А»; двигатель включается и лебедка наматы­вает канат до S = Scp1 = Рср). Переключатель А-Р установить в поло­жение «Р»; натяжным винтом создается натяжение S > Smax (Р > Ртах); переключатель А-Р переводится в положение «А», двигатель включает­ся и лебедка разматывает канат до S = Scp2 (Р = Рср2); находится минимальная разность уровней Рср.1 и Рср.2, при которой схема сохраняет свою работоспособность.

Пример

Техническая характеристика ленточного конвейера 1Л80:

Мощность двигателя.......................................................Nдв=40 кВт

КПД редуктора................................................................ = 0, 8

Скорость ленты......................................................................v= 1, 6 м/с

Коэффициент...................................................................... КТ= 1, 3

Коэффициент трения...............................................................f=0, 3

Количество барабанов.....................................................2

Угол обхвата одного барабана.................................... 210° =3, 66 рад

Диаметр поршня гидродатчика.........................................d=6см.

Тяговый фактор (барабаны не футерованы резиной, состояние по­верхности - сухое, угол обхвата одного барабана =210°)

Расчет натяжений ленты и уровней настройки блока управления

1. Натяжение ленты в точке сбегания (Sc6, H) с приводных бараба­нов

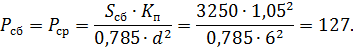
2. Показания манометра, соответствующие усилию Sc6(Scp), Н/см2

3. Разность уровней натяжений, S, H

S = Smax - Smin = 2000 Н; Scp = (Smax + Smin)/2 = 3250 H.

Тогда Smax = (2000 + 6500)/2 = 4250 H тах = 166 Н/см2), Smin = 2250 H (Pmin = 88 Н/см2).

Результаты расчетов настройки электроконтактных манометров заносим в табл. 2.3.

Таблица 2.3 – Настройка электроконтктных манометров

Контакты ЭКМ Усилия в ленте, Н Показания манометров, Н/см2
ЭКМ 1 (Smin)   88, 0
ЭКМ1 (Sср.2)   137, 0
ЭКМ 2 (Sср.1)   117, 0
ЭКМ 2 (Smax)   166, 0

 


Поделиться с друзьями:

mylektsii.su - Мои Лекции - 2015-2026 год. (0.624 сек.)Все материалы представленные на сайте исключительно с целью ознакомления читателями и не преследуют коммерческих целей или нарушение авторских прав Пожаловаться на материал