Студопедия

Главная страница Случайная страница

КАТЕГОРИИ:

АвтомобилиАстрономияБиологияГеографияДом и садДругие языкиДругоеИнформатикаИсторияКультураЛитератураЛогикаМатематикаМедицинаМеталлургияМеханикаОбразованиеОхрана трудаПедагогикаПолитикаПравоПсихологияРелигияРиторикаСоциологияСпортСтроительствоТехнологияТуризмФизикаФилософияФинансыХимияЧерчениеЭкологияЭкономикаЭлектроника






З а д а ч а 9






 

Цепь содержит переменную ЭДС, активное сопротивление R и реактивный элемент (только емкость С или только индуктивность L). Что представляет собой этот элемент, если зависимость от времени t силы тока I в цепи и ЭДС источника имеют вид, представленный на рисунке (графики).

 

 

Р е ш е н и е

 

 

Из графиков видно, что ток I опережает по фазе напряжение (ЭДС) на 0 ‹ φ ‹ π /2. Такое опережение имеет место в том случае, если последовательно с R включена емкость С.

10. Уменьшение амплитуды колебаний в системе с затуханием характеризуется временем релаксации. Если при неизменном омическом сопротивлении R в колебательном контуре увеличить в 2 раза индуктивность катушки, то время релаксации…1) увеличить в 2 раза; 2) уменьшить в 2 раза; 3) увеличить в 4 раза; 4) уменьшить в 4 раза.

 

12. Дана зависимость относительной амплитуды вынужденных колебаний силы тока в катушке индуктивностью 1 мГн включенной в колебательный контур. Емкость конденсатора этого контура равна…

1) 1 нФ; 2) 0, 1 нФ; 3) 10 нФ; 4) 100нФ

Тема: Сложение гармонических колебаний

Сопротивление, катушка индуктивности и конденсатор соединены последовательно и включены в цепь переменного тока, изменяющегося по закону (А). На рисунке представлена фазовая диаграмма падений напряжений на указанных элементах. Амплитудные значения напряжений соответственно равны: на сопротивлении ; на катушке индуктивности ; на конденсаторе

Установите соответствие между сопротивлением и его численным значением.
1.
2.
3.

    активное сопротивление
    реактивное сопротивление
    полное сопротивление
    емкостное сопротивление

ВОЛНЫ

Тема: Волны. Уравнение волны

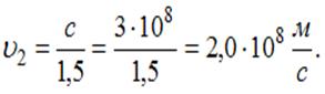
На рисунке представлена мгновенная фотография электрической составляющей электромагнитной волны, переходящей из среды 1 в среду 2 перпендикулярно границе раздела АВ.

Если среда 1 – вакуум, то скорость света в среде 2 равна ______ м/с.

      2, 0·108
      1, 5·108
      2, 4·108
      2, 8·108

 

Решение:
Относительный показатель преломления двух сред равен отношению их абсолютных показателей преломления: , где и – абсолютные показатели преломления среды 1 и среды , равные отношению скорости электромагнитной волны в вакууме к фазовым скоростям и в этих средах. Следовательно, . Скорость волны, где – частота; длина волны, которую можно определить, используя рисунок. Тогда при условии (при переходе электромагнитной волны из среды 1 в среду 2 частота не меняется) относительный показатель преломления равен: . Если среда 1 – вакуум, то и

 

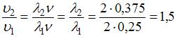
Тема: Волны. Уравнение волны

На рисунке представлена мгновенная фотография электрической составляющей электромагнитной волны, переходящей из среды 1 в среду 2 перпендикулярно границе раздела сред АВ.

Отношение скорости света в среде 2 к его скорости в среде 1 равно …

    1, 5
      0, 67
      1, 7
      0, 59

7. На Рис. показана ориентация векторов Е и Н полей в электромагнитной волне. Вектор плотности потока энергии электромагнитного поля ориентирован в направлении …

Варианты ответов

1) 1; 2) 2; 3) 3.

P = [ E, H ] – вектор Умова-Пойнтинга

Тема: Волны. Уравнение волны

Две точки лежат на прямой, вдоль которой распространяется волна со скоростью 330 м/с. Период колебаний 0, 02 с, расстояние между точками 55 см. Разность фаз колебаний в этих точках составляет … 1) ; 2) ; 3) ; 4) .

 

Тема: Волны. Уравнение волны

На рисунке представлен профиль поперечной упругой бегущей волны, распространяющейся со скоростью . Циклическая частота волны равна …1) 628; 2) 314; 3) 1256; 4)2512

 

 

Тема: Волны. Уравнение волны

Уравнение плоской синусоидальной волны, распространяющейся вдоль оси OХ, имеет вид . Амплитуда ускорения колебаний частиц среды (в ) равна …

1) 104; 2) 10; 3) 500; 4) 5

 

Тема: Свободные и вынужденные колебания

В колебательном контуре за один период колебаний в тепло переходит 4, 0 % энергии. Добротность контура равна …

Решение:
По определению добротность равна где и – энергия контура в некоторый момент времени и спустя период соответственно. Следовательно,

 

Тема: Энергия волны. Перенос энергии волной

В физиотерапии используется ультразвук частотой и интенсивностью При воздействии таким ультразвуком на мягкие ткани человека плотностью амплитуда колебаний молекул будет равна …
(Считать скорость ультразвуковых волн в теле человека равной Ответ выразите в ангстремах и округлите до целого числа.)

Решение:
Интенсивностью волны называется скалярная величина, равная модулю среднего значения вектора плотности потока энергии (вектора Умова) , где – скорость волны, – объемная плотность ее энергии. Среднее значение объемной плотности энергии упругой волны определяется выражением , где – плотность среды, – амплитуда, – циклическая частота волны. Тогда интенсивность волны равна . Отсюда

Тема: Волны. Уравнение волны

На рисунке представлена мгновенная фотография электрической составляющей электромагнитной волны, переходящей из среды 1 в среду 2 перпендикулярно границе раздела сред АВ.

Отношение скорости света в среде 2 к его скорости в среде 1 равно …

    1, 5
      0, 67
      1, 7
      0, 59

 

Решение:
Скорость распространения волны связана с ее длиной и частотой соотношением: , где длина волны, – частота. Частота при переходе через границу двух сред не изменяется, длину волны можно найти из приведенного рисунка: , . Тогда .

 

5. Для плоской бегущей волны справедливо утверждение, что…

1) нет переноса энергии; 2) амплитуда волны не зависит от расстояния до источника колебаний (при условии, что поглощением среды можно пренебречь);

3) волновые поверхности имеют вид концентрических сфер;

4) амплитуда волны обратно пропорциональна расстоянию до источника колебаний.

 


Поделиться с друзьями:

mylektsii.su - Мои Лекции - 2015-2026 год. (1.085 сек.)Все материалы представленные на сайте исключительно с целью ознакомления читателями и не преследуют коммерческих целей или нарушение авторских прав Пожаловаться на материал