Студопедия

Главная страница Случайная страница

КАТЕГОРИИ:

АвтомобилиАстрономияБиологияГеографияДом и садДругие языкиДругоеИнформатикаИсторияКультураЛитератураЛогикаМатематикаМедицинаМеталлургияМеханикаОбразованиеОхрана трудаПедагогикаПолитикаПравоПсихологияРелигияРиторикаСоциологияСпортСтроительствоТехнологияТуризмФизикаФилософияФинансыХимияЧерчениеЭкологияЭкономикаЭлектроника






Одноступенчатый компрессор






Компрессором называют машину, предназначенную для сжатия и перемещения различных газов. Компрессоры получили в совре­менной технике широкое применение. Их используют в химической промышленности, машиностроительной, металлургической, горно­рудной и других, на железных дорогах, в авиации, в газотурбинных установках, в пищевой промыш­ленности для холодильников и т. п.

Все компрессоры, в зависи­мости от конструктивного офор­мления и принципа работы, мо­гут быть разделены на две груп­пы: поршневые и турбинные (центробежные). Несмотря на различие принципов сжатия га­за в компрессорах и их конст­руктивные отличия, термодинамика процессов сжатия в них одинакова для любых типов машин. Процессы в компрессорах описываются одними и теми же урав­нениями. Поэтому для исследования и анализа процессов, про­текающих в любой машине для сжатия газа, рассмотрим работу наиболее простого одноступенчатого поршневого компрессо­ра, в котором все явления хорошо изучены и являются нагляд­ными.

Компрессор (рис. 16-1) состоит из цилиндра 1 с пустотелыми стенками, в которых циркулирует охлаждающая вода, и поршня 2, связанного кривошипно-шатунным механизмом с электродвигате­лем или другим источником механической работы. В крышке ци­линдра в специальных коробках помещаются два клапана: всасы­вающий 3 и нагнетательный 4, которые открываются автоматически под действием изменения давления в цилиндре.

Рабочий процесс компрессора совершается за один оборот вала или два хода поршня. При ходе поршня вправо открывается вса­сывающий клапан и в цилиндр поступает рабочее тело — газ. При обратном движении поршня всасывающий клапан закрывается, происходят сжатие газа до заданного давления и нагнетание его в резервуар, из которого сжатый газ направляется к потребителям. После этого наступает повторение указанных процессов. Величина давления нагнетания определяется пружиной, установленной на нагнетательном клапане.

Основной целью термодинамического расчета компрессора яв­ляется определение затрачиваемой работы на получение 1 кг сжа­того газа и, как следствие, определение мощности приводного дви­гателя.

Рассмотрим работу теоретического одноступенчатого компрес­сора при следующих допущениях. Геометрический объем цилиндра компрессора равен рабочему объему (отсутствует вредное прост­ранство). Отсутствуют потери ра­боты на трение поршня о стенки цилиндра и дросселирование в клапанах. Всасывание газа в ци­линдр и его нагнетание в резер­вуар осуществляются при постоян­ном давлении.

Теоретическая индикаторная диаграмма процесса получения сжатого газа в компрессоре пред­ставлена на рис. 16-2.

При движении поршня слева направо открывается всасывающий

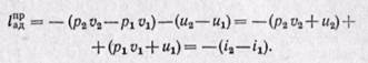
клапан 3 и происходит наполнение цилиндра газом при постоянном давлении р1. Этот процесс изображается на диаграмме линией 0-1 и называется линией всасывания. При обратном движении поршня справа налево всасывающий клапан 3 закрывается, происходит сжатие газа. По достижении заданного давления весь сжатый газ выталкивается из цилиндра при постоянном давлении через открыв­шийся нагнетательный клапан 4 в резервуар для хранения или на производство. Кривая 1-2 называется процессом сжатия. Линия 2-3 называется линией нагнетания. Следует отметить, что линии всасывания 0-1 и нагнетания 2-3 не изображают термодинамические процессы, так как состояние рабочего тела в них остается неизмен­ным, а меняется только его количество. При начале следующего хода поршня слева направо нагнетательный клапан закрывается, давление в цилиндре р2 теоретически мгновенно падает до р1, от­крывается всасывающий клапан и далее повторяется весь рабочий процесс сжатия газа.

Затраченная работа l на получение 1 кг сжатого газа (без учета трения) при условии, что все процессы обратимы и приращение кинетической энергии газа отсутствует, может быть представлена

следующим выражением:

где p1v1 —работа, производимая внешней средой при заполнении

цилиндра газом; p2v2—-работа, затраченная па выталкивание газа;

— работа сжатия газа. Так как

. (16-1)

При наличии трения работа, затрачиваемая на привод компрес­сора (действительная работа), будет больше теоретической работы на величину работы против сил трения qтp и составит

(16-2)

В этом случае площадь между линией сжатия и осью ординат представляет лишь часть затрачиваемой работы.

Если в процессе сжатия осуществляется отвод тепла qД от сжи­маемого газа, то, согласно первому закону термодинамики,

(16-3)

Процесс сжатия газа в компрессоре, в зависимости от условий теплообмена между рабочим телом и стенками цилиндра, может осуществляться по изотерме 1-2, адиабате 1-2' и политропе 1-2". Сжатие по каждому из трех процессов дает различную величину пло­щади затраченной работы.

Сжатие по изотерме 1-2 дает наименьшую площадь пл. 01230 и наименьшую затрату работы. Вся энергия, подводимая в форме работы, отводится от газа в форме теплоты. Сжатие по адиабате 1-2' дает наибольшую площадь пл. 012'30 и наибольшую затрату работы. При этом вся энергия, подводимая в форме работы, идет на изменение энтальпии газа. При политропном сжатии величина работы принимает промежуточное значение.

Чтобы уменьшить работу сжатия, необходимо процесс сжатия приблизить к изотермическому процессу, для этого требуется отво­дить тепло от сжимаемого газа в цилиндре компрессора. Последнее достигается путем охлаждения наружной поверхности цилиндра

водой, которая протекает через рубашку компрессора, образуемую полыми стенками цилиндра. Охлаждение дает возможность сжимать газ до более высоких давлений, а получаемый при этом интенсивный теплообмен между рабочим телом и стенками цилиндра позволяет осуществлять сжатие газа по политропе со средним показателем, равным n = 1, 18—1, 2. У компрессоров малой производительности при небольших давлениях сжатого газа стенки цилиндра делают ребристыми. Ребра обдуваются воздухом, что способствует охлаждению стенок цилиндра.

Определение работы на привод компрес­сора. При изотермическом процессе работа, расходуемая на сжатие газа, графически изображается пл. 01230 (см. рис. 16-2). Полная работа для получения 1 кг сжатого газа равна

l = пл. 4325 + пл. 5216 — пл. 4016.

Пл. 4325=p2v2 графически изображает работу нагнетания; пл. 4016 = p1v1 — работу всасывания, а пл.

работу сжатия.

При изотермическом процессе сжатия (пл. 5216) работа опре­деляется из уравнения (7-13); пл.

Учитывая, что при t = const

находим

(16-4)

Работа для привода компрессора равна работе изотермического сжатия.

Количество отводимого тепла

При обратимом адиабатном сжатии работа в процессе опреде­ляется по уравнению (7-16):

пл.

Работа на привод компрессора составит

Работа на привод компрессора в k раз больше работы адиабатного сжатия. Выражение (16-5) может быть представлено и в другом виде. Работа сжатия в адиабатном процессе равна

тогда работа на привод компрессора будет

(16-6)

При адиабатном сжатии работа на привод компрессора по аб­солютной величине равна разности энтальпий конца и начала про­цесса сжатия. Эта формула справедлива как для реального, так и для идеального газа.

Для компрессора с политропным процессом сжатия работа изо­бражается пл. 5" 2" 16, поэтому

Работа, затрачиваемая на по­лучение 1 кг сжатого газа, равна

(16-8)

Теоретическое количество отводимой теплоты находим по уравнению (7-21):

(16-9)

Действительная индикаторная диаграмма одноступенчатого ком­прессора (см. рис. 16-3) отличается от теоретической (см. рис. 16-2) прежде всего наличием потерь на дросселирование в впускном и на­гнетательном клапанах. Вследствие этого всасывание происходит при давлении газа в цилиндре, меньшем давления среды, из кото­рой происходит всасывание, а нагнетание происходит при давле­нии, большем, чем давление в нагнетательном трубопроводе. Эти потери возрастают с увеличением числа оборотов компрессора.

Кроме того, в реальном компрессоре между крышкой цилиндра и поршнем в его крайнем положении при выталкивании сжатого га­за остается некоторый свободный объем, называемый вредным пространством. Объем вредного пространства обычно составляет 4—10% от рабочего объема цилиндра компрессора Vh, (рис. 16-3). По окончании нагнетания сжатого газа (линия 2-3) некоторое его количество остается во вредном пространстве цилиндра и занимает объем Vвр. При обратном ходе поршня оставшийся газ во вредном пространстве расширяется, и всасывание новой порции газа нач­нется только тогда, когда давление газа в цилиндре упадет до дав­ления всасывания или до давления той среды, откуда газ поступает. Процесс расширения остаточного сжатого газа во вредном прост­ранстве цилиндра изображается линией 3-0. При этом всасывание газа в компрессор начнется только в точке 0, и в цилиндр поступит, свежий газ, объем которого Vh, — V0 = V. Вредное пространство уменьшает количество засасываемого газа и тем самым уменьшает производительность компрессора. Отношение объемов V и Vh, назы­вают объемным коэффициентом полезно­го действия:

Объемный к.п.д. уменьшается с уве­личением вредного пространства и при определенном Vвр может стать равным нулю. При неизменном Vвр с повы­шением давления сжатия объемный к. п. д. и производительность компрес­сора также будут уменьшаться и в пределе, когда линия сжатия будет пе­ ресекать линию вредного пространства, объемный к.п.д. обращается в нуль. Данное явление наглядно по­казано на рис. 16-4.

В первом случае, когда процесс сжатия 1-2 заканчивается при давлении р2, нагнетание осуществляется по линии 2-3. Давление в цилиндре падает по линии 3-0, и всасывание начинается в точке 0. Во втором случае с увеличением давления р2 сжатие заканчивается в точке 2' и нагнетание производится по линии 2'-3'. В этом случае количество нагнетаемого газа стало значительно меньше, чем в пер­вом случае. В третьем случае с дальнейшим увеличением давления р2 сжатие заканчивается в точке 4, т. е. в месте пересечения линии сжатия с линией объема вредного пространства; в этом случае ли­ния нагнетания превращается в точку, и засасывания свежей порции газа в цилиндр не производится.

Поршень работающего компрессора периодически сжимает одно и тоже количество газа без нагнетания. В этом случае объемный к. п. д. и производительность компрессора становятся равными нулю. Массовое количество поступающего газа в цилиндр компрес­сора уменьшается еще больше вследствие уменьшения удельного объема газа из-за нагревания его горячими поверхностями цилинд­ра и нагретым газом, оставшимся во вредном пространстве. Умень­шение массового количества газа, засасываемого в цилиндр, из-за

повышения температуры газа определяется отношением

где T1 - температура газа, нагретого в цилиндре в процессе всасывания; t’1 —температура всасываемого газа.

Общее уменьшение производительности компрессора из-за вред­ного пространства и нагревания газа характеризуется коэффициен­том наполнения:

(16-10)

Общая теоретическая работа на привод компрессора с вред­ным пространством изображается пл. 12301 на рис. 16-4.

Уменьшение производительности компрес­сора с увеличением давления сжатого газа не позволяет получать газы высокого давления в одном цилиндре. Кроме того, при высоких дав­лениях сжатия температура газа может превы­сить температуру самовоспламенения смазочного масла в цилиндре, что недопустимо. Обычно одноступенчатый компрессор применяют для сжатия газа до давлений 6—10 бар.

Центробежные нагнетатели (турбо- и осевые компрессоры) отличаются от поршневых непре­рывностью действия и значительными скоростя­ми перемещения рабочего тела. Центробежный компрессор состоит из следующих основных ча­стей (рис. 16-5): входного патрубка 1, рабочего колеса 2, диффузора 3 и выходных патрубков 4. Газ поступает через входной патрубок в каналы, образованные ло­патками рабочего колеса. При вращении колеса газ под действием центробежных сил выбрасывается в диффузор, где сжимается до необходимой величины, т. е. сжатие осуществляется вследствие торможения потока газа.

На создание потока газа через нагнетатель расходуется работа qд и отводится теплота qA (qTp — теплота трения в дд не входит). Если состояние потока на входе характеризуется параметрами рь ti, vi и w1, а на выходе — параметрами р2, t2, v2 и wz, то основное уравнение для потока примет вид

Если разность между кинетической энергией потока на входе и на выходе из компрессора незначительна и ею можно пренебречь, то

Это выражение совпадает с уравнением для поршневых компрес­соров.

Уравнение первого закона термодинамики для потока газа имеет вид

Подставив значение qд в выражение для lд, получим уравнение работы, затрачиваемой на привод центробежного компрессора:

что полностью совпадает с уравнением для поршневых компрес­соров.

Процессы сжатия в реальном компрес­соре. Процесс сжатия газа в реальном компрессоре характери­зуется наличием внутренних потерь на трение и теплообменом с ок­ружающей средой. При расчете реальных компрессоров принимают,

что действительная работа на привод ох­лаждаемого компрессора равна работе при изотермическом сжатии, а неохлаждае­мого — работе при адиабатном сжатии. Эффективность работы реального компрес­сора определяется изотермическим и адиа­батным к. п. д. Эти к. п. д. представляют собой отношение теоретической работы к действительной затрачиваемой на привод компрессора, в этих процессах

Изобразимв Ts-диаграмме обратимую

1-2 и (условно) необрати­мую 1-3 (действительный процесс) адиабаты (рис. 16-6). Согласно уравнению (16-3), действительная работа lд на привод адиабатного компрессора равна

а теоретическая работа lт при обратимом адиабатном сжатии будет

Отсюда адиабатный к. и. д. компрессора равен

(16-11)

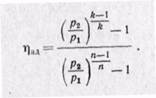
Необратимая адиабата может рассматриваться условно, с опре­деленным приближением, как некоторая политропа с показателем n> k, численное значение которого зависит от величины силы трения.

Тогда

откуда

(16-12)

Средняя величина показателя политропы (п) определяется по параметрам газа в начале и в конце сжатия.

Действительная работа на привод неохлаждаемого компрессора составит

или

(16-13)

Действительная работа на привод неохлаждаемого компрессора может быть определена, если будет известен условный показатель политропы п действительного процесса сжатия. На Ts-диаграмме (см. рис. 16-6) lд изображается пл. 3456, а теоретическая работа lт — пл. 2457 (справедливо только для идеального газа).

Для охлаждаемого компрессора знания величины показателя политропы п недостаточно, так как один и тот же показатель по­литропы при наличии отвода тепла может соответствовать различ­ным значениям работы трения qтр.

Эффективная мощность, затрачиваемая на привод компрессора, определяется по формуле

(16-14)

где т — секундная производительность компрессора т == VHρ н кг/сек (где Vн —объемная производительность при нормальных условиях м3/с; ρ н — плотность газа при нормальных условиях); lн — работа на привод компрессора при политропном сжатии газа дж/кг; μ н — к. п. д. компрессора при политропном сжатии газа; μ мех— механический к. п. д., учитывающий потери на трение; μ нап — к. п. д. наполнения.

 


Поделиться с друзьями:

mylektsii.su - Мои Лекции - 2015-2026 год. (1.469 сек.)Все материалы представленные на сайте исключительно с целью ознакомления читателями и не преследуют коммерческих целей или нарушение авторских прав Пожаловаться на материал