Студопедия

Главная страница Случайная страница

КАТЕГОРИИ:

АвтомобилиАстрономияБиологияГеографияДом и садДругие языкиДругоеИнформатикаИсторияКультураЛитератураЛогикаМатематикаМедицинаМеталлургияМеханикаОбразованиеОхрана трудаПедагогикаПолитикаПравоПсихологияРелигияРиторикаСоциологияСпортСтроительствоТехнологияТуризмФизикаФилософияФинансыХимияЧерчениеЭкологияЭкономикаЭлектроника






Расчет водопроводной сети






 

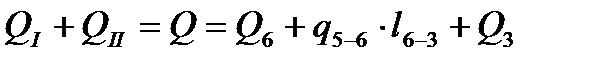
1.1 Определение расчетных расходов иа отдельных участках начинают с конечных сечеинй 7 и 12 {рис1 приложения 1) и выполняют их в направлении, обратной движению жидкости, т. е к сечению 1. В общем случае для любого участка расчетный расход находится по формуле:

(1.1)

 

расчетный расход воды на соответствующем участке, м3

расход воды на данном участке (Транзитный), м3

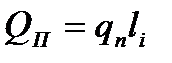
путевой расход воды, м3

путевые расходы будут на участке 6-5, 4-3, 10-9, 9-8, на любом из этих участков они определяются по формуле

(1.2)

 

где,

удельный путевой расход на единицу длины данного участка м3/ч на один погонный метр

l – длина данного участка, м

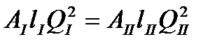
На участке I и II трубопровода с параллельным соединением труб расчетные расходы находятся следующим образом

 

(1.3)

 

где, расчетные расходы соответственно для I – II участков, м3

Q – расход воды в сечении до разветвления трубопровода без Q4, м3/c

(1.4)

 

где удельное сопративление трубопровода на I и II участках, определяемое в зависимости от диаметра и стенок труб по табл 5-9 прилож. 2 с26

длина участков, м;

 

Из формулы (1.4)

 

(1.5)

 

В формуле (1.3) подставляют значение Qп из (1.5) находят Q1, а затем Qм по формуле (1.4).

Для участка 2-1 суммируются расчетные расходы: ветвей 3-2 и 8-2. расчетный расход для участка 2-1 Qр2-1 будет равен подаче насоса Qн.

Данные расчетных расходов на участках водопроводной сети заносят в табл. 1.1. Расход воды во всасывающем трубопроводе равен расчетному расходу на участке 2-1.

Таблица 1.1 Значения расчетных расходов, диаметров труб, скоростей, потерь напора на участках и диаметров труб по ГОСТ.

Номер участка Расчетный расход на участке Диаметр труб, м Расчетная скорость на участке, м/с Потери напора на участке, м
м3 м3 расчетный по ГОСТ
12-11            
11-10
10-9
и т. д.
2-1
10-20

Поделиться с друзьями:

mylektsii.su - Мои Лекции - 2015-2026 год. (1.486 сек.)Все материалы представленные на сайте исключительно с целью ознакомления читателями и не преследуют коммерческих целей или нарушение авторских прав Пожаловаться на материал