Студопедия

Главная страница Случайная страница

КАТЕГОРИИ:

АвтомобилиАстрономияБиологияГеографияДом и садДругие языкиДругоеИнформатикаИсторияКультураЛитератураЛогикаМатематикаМедицинаМеталлургияМеханикаОбразованиеОхрана трудаПедагогикаПолитикаПравоПсихологияРелигияРиторикаСоциологияСпортСтроительствоТехнологияТуризмФизикаФилософияФинансыХимияЧерчениеЭкологияЭкономикаЭлектроника






Гидравлический расчет трубопроводной сети и подбор насоса






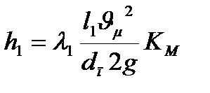
Гидравлический расчет трубопроводной сети, по которой транспортируется нефтепродукт, вязкость которого больше вязкости воды (рис.2 приложения 1.), производится аналогично водопроводной сети. Различие состоит в том, что потери напора определяются по фотмуле Вейсбаха:

 

, (2.1)

 

где λ 1 – коэффициент трения по длине.

 

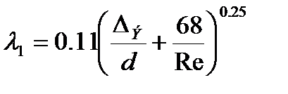
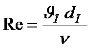
Зная число Рейнольда () и абсолютную эквивалентную шероховатость стенок труб Э [11], устанавливаем зону сопротивления, в зависимости от которой определяется λ 1.

 

Для Re < 2300

λ = , (2.2)

 

2300< Re< 4000

 

λ = ; (2.3)

 

 

4000< Re < 1.105, более точно пра ….. раничное условие определяется по соотношению Re< 10

 

; (2.4)

 

10< Re < 500

; (2.5)

 

re > 500

 

(2.6)

 

 

Центробежный насос подбирается также как и для водопроводной сети. На рис.2.1 даны его графические характеристики.

 


Поделиться с друзьями:

mylektsii.su - Мои Лекции - 2015-2026 год. (0.877 сек.)Все материалы представленные на сайте исключительно с целью ознакомления читателями и не преследуют коммерческих целей или нарушение авторских прав Пожаловаться на материал