Студопедия

Главная страница Случайная страница

КАТЕГОРИИ:

АвтомобилиАстрономияБиологияГеографияДом и садДругие языкиДругоеИнформатикаИсторияКультураЛитератураЛогикаМатематикаМедицинаМеталлургияМеханикаОбразованиеОхрана трудаПедагогикаПолитикаПравоПсихологияРелигияРиторикаСоциологияСпортСтроительствоТехнологияТуризмФизикаФилософияФинансыХимияЧерчениеЭкологияЭкономикаЭлектроника






Определение напора насоса






Напор насоса находится по формуле

 

, (1.10)

где - статический напор, м;

- геометрический напор, м;

- геометрический напор всасывания, м;

- геометрический напор нагнетания, м;

- абсолютное давление на свободной поверхности емкости 2 или 3, атм;

- избыточное давление на совбодной поверхности емкости 2 или 3, атм;

- атмосферное давление, ат;

- абсолютное давление на свободной поверхности ( = ), атм;

- потеря напора в нагревательном трубопроводе, м.

Геометрическая высота всасывания определяется по формуле

 

, (1.11)

где - величина вакуума в сечении II-II (рис. 1 приложения 1), принимаемая в пределах 5-7 м, в зависимости от конструкции насоса;

- коэффициент неравномерности распределения скоростей в сечении II-II (для чисел Рейиольдса менее 2300 = 2, а больше 2300 = 1, 0 – 1, 1).

Геометрический напор нагнетания подсчитываем по формуле

 

, (1.12)

где - геометрические отметки для емкости (2 или 3) и насоса, м;

- высота столба воды в емкости (2 или3), м.

Потери напора в нагнетальном трубопроводе находим по формуле

 

, (1.13)

где - потери напора на участке 12-2 или 7-2, м;

- потери напора на участке 2-1, м.

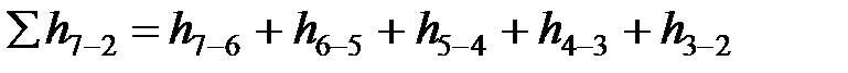
Потери напора на участке 7-2 будут

 

, (1.14)

Потери на участке трубопровода с параллельным соединением труб 5-4 принимаются по 1 ветви или по второй - , но не сумму + .

Потери напора на участке 12-2 определяются по формуле

 

, (1.15)

в дальнейшем при определении hН применяются большие или . Обозначим их как . При нахождении Hст. В формуле (1.10) P применяем для этого же участка (7-2 и12-2) т.е Р2 или Р3 и анологично для из формулы 1-12 2 и 3.

 

 


Поделиться с друзьями:

mylektsii.su - Мои Лекции - 2015-2026 год. (0.547 сек.)Все материалы представленные на сайте исключительно с целью ознакомления читателями и не преследуют коммерческих целей или нарушение авторских прав Пожаловаться на материал