Студопедия

Главная страница Случайная страница

КАТЕГОРИИ:

АвтомобилиАстрономияБиологияГеографияДом и садДругие языкиДругоеИнформатикаИсторияКультураЛитератураЛогикаМатематикаМедицинаМеталлургияМеханикаОбразованиеОхрана трудаПедагогикаПолитикаПравоПсихологияРелигияРиторикаСоциологияСпортСтроительствоТехнологияТуризмФизикаФилософияФинансыХимияЧерчениеЭкологияЭкономикаЭлектроника






Задание № 1. В результате работы пункта технического осмотра (ПТО) грузовых вагонов были получены выборки и выявлены вероятности появления дефектов ходовых частей






В результате работы пункта технического осмотра (ПТО) грузовых вагонов были получены выборки и выявлены вероятности появления дефектов ходовых частей, подчиняющиеся нормальному закону распределения. Выборки имеют различные показатели для смен, работающих в ночное и дневное время и характеризуются их средними арифметическими значениями , а также среднеквадратическими отклонениям . При этом накопленные данные для представления выборок были получены за разное количество смен .

Требуется:

Используя двухвыборочный -критерий Стьюдента определить возможность статистического сравнения данных выборок и объединения их в одну общую выборку для получения обобщенных статистических данных за сутки.

Исходные данные принимают по таблицам 1.1 и 1.2.

Таблица 1.1

Данные выборки работы ПТО в ночную смену

Вариант задания
 
, % 5, 95
, % 0, 97
 

 

Таблица 1.2

Данные выборки работы ПТО в дневную смену

Вариант задания
 
, % 5, 6
, % 0, 52
 

 

Решение:

Выборка для смен, работающих в ночное время, была получена за смен, и характеризуется она средним арифметическим значением вероятности обнаружения дефектов , а также среднеквадратическим отклонением .

Данные для полученной выборки работы дневной смены характеризуется средним арифметическим значением вероятности обнаружения дефектов , среднеквадратическим отклонением , и накоплены они за смен.

Двухвыборочный –критерий Стьюдента используется в случае, когда сравниваемые выборки подчиняются нормальному закону распределения и при этом обеспечивается условие равенства их дисперсий. Гипотеза о равенстве дисперсий в выборках проверяется сравнением частных несмещенных значений генеральной совокупности следующим образом:

,

где - степень свободы для значения в числителе;

- степень свободы для значения в знаменателе;

- критическая область значимости для исследуемого распределения.

В нашем случае для и по таблице –распределения (прил. 3) найдем значение .

Соответственно,

,

что .

Условие соблюдается, что свидетельствует о том, что существенной разницы между дисперсиями в исследуемых выборках нет и их можно сравнить, используя двухвыборочный –критерий Стьюдента.

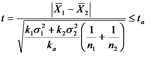
Нахождение –критерия является наиболее часто используемым методом обнаружения сходства между средними значениями двух выборок. Значение данного критерия находится из условия:

,

где сравнительный показатель, который зависит от уровня значимости и находится из прил. 2.

Подставляя данные, находим:

.

Из прил. 2 .

Тогда значение –критерий Стьюдента:

.

Т.к. условие соблюдается, то сравниваемые выборки равны, а разница между ними случайна и причины ее несущественны. Соответственно, статистическое сравнение данных выборок работы пункта технического осмотра (ПТО) в ночную и дневную смены возможно. Также возможно объединение накопленных данных в одну общую выборку, которая позволит получить достоверные данные о вероятности обнаружения дефектов ходовых частей грузовых вагонов в процессе работы ПТО в течение суток.



Поделиться с друзьями:

mylektsii.su - Мои Лекции - 2015-2026 год. (2.799 сек.)Все материалы представленные на сайте исключительно с целью ознакомления читателями и не преследуют коммерческих целей или нарушение авторских прав Пожаловаться на материал