Студопедия

Главная страница Случайная страница

КАТЕГОРИИ:

АвтомобилиАстрономияБиологияГеографияДом и садДругие языкиДругоеИнформатикаИсторияКультураЛитератураЛогикаМатематикаМедицинаМеталлургияМеханикаОбразованиеОхрана трудаПедагогикаПолитикаПравоПсихологияРелигияРиторикаСоциологияСпортСтроительствоТехнологияТуризмФизикаФилософияФинансыХимияЧерчениеЭкологияЭкономикаЭлектроника






Задание № 2. Результаты восьми измерений ширины головки рельса приведены в табл.1.3






Результаты восьми измерений ширины головки рельса приведены в табл.1.3

Требуется:

1. Выполнить проверку наличия грубых погрешностей в представленной выборке из восьми измерений.

2. Выполнить интервальную оценку результатов измерения при доверительной вероятности .

 

Таблица 1.3

Номер измерения Вариант задания
 
  72, 15
  72, 05
  71, 95
  72, 10
  72, 05
  72, 10
  72, 15
  72, 10

 

Решение:

При однократных измерениях обнаружить промах не представляется возможным. Для уменьшения вероятности появления промахов измерения проводят два-три раза, и за результат принимают среднее арифметическое полученных значений. При многократных измерениях для обнаружения промахов используют статистические критерии, предварительно определив, какому виду распределения соответствует результат измерений.

Вопрос о том, содержит ли результат наблюдения грубую погрешность, решается общими методами проверки статистических гипотез. Проверяемая гипотеза состоит в утверждении, что результат наблюдений не содержит грубой погрешности, т.е. является одним из значений измеряемой величины. Пользуясь определенными статистическими критериями, пытаются опровергнуть выдвинутую гипотезу. Если это удастся, то результат наблюдений рассматривают как содержащий грубую погрешность и исключают.

Для выявления грубых погрешностей задаются вероятностью – уровнем значимости того, что сомнительный результат действительно мог иметь место в данной совокупности результатов измерений.

Критерий «трех сигм» применяется для результатов измерений, распределенных по нормальному закону и достаточно надежен при числе измерений . По этому критерию считается, что результат возникающий с вероятностью маловероятен и его можно считать промахом, если , где - оценка среднего квадратичного отклонения измерений; - среднее арифметическое значение ряда измерений; - результат измерения, вызывающий сомнение (обычно проверяют наибольшее и наименьшее значения результатов измерений).

В случае, если число измерений , применяется критерий Греббса – Смирнова или Романовского. При этом вычисляется отношение и сравнивается с критерием . Если , то результат считается промахом и отбрасывается.

При числе измерений применяется критерий Шовинэ. При этом если разность , то результат измерений отбрасывают как содержащий грубую погрешность. Коэффициент определяется в зависимости от числа измерений .

В нашем случае для оценки наличия грубых промахов можно воспользоваться критерием Греббса-Смирнова или Шовинэ.

Будем использовать критерий Шовинэ.

Для этого рассчитаем среднее значение восьми измерений ширины головки рельса:

,

где - результат -ого измерения; ; - количество проведенных измерений.

Т.е. .

Рассчитаем - среднее квадратическое отклонение выборки.

.

Произведем оценку результата измерения 71, 95 по критерию Романовского.

а) уровень значимости.

б) из приложения 4 находим при =1-0, 9=0, 1

Вывод: так как > то результат измерения 71, 95 является грубой погрешностью.

Произведем оценку результатов измерения 71, 95 по критерию Шовинэ.

а) отклонение результата измерения 71, 95 от среднего арифметического значения составляет.

Δ =

б) допускаемое значение отклонения:

=f находим:

Вывод: Так как =0, 15> 0, 072 то результат измерения =71, 95 является грубой погрешностью.

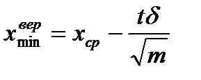
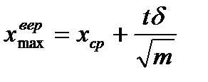
Находим доверительный интервал при доверительной вероятности Р=0, 9.

; ;

Из приложения 2 при n -2=8-2=6 тогда α =P-1=1-0.9=0, 1 t=1, 94

;

 

72, 07 72.13

Ответ: является грубой погрешностью.


Поделиться с друзьями:

mylektsii.su - Мои Лекции - 2015-2026 год. (1.565 сек.)Все материалы представленные на сайте исключительно с целью ознакомления читателями и не преследуют коммерческих целей или нарушение авторских прав Пожаловаться на материал