Студопедия

Главная страница Случайная страница

КАТЕГОРИИ:

АвтомобилиАстрономияБиологияГеографияДом и садДругие языкиДругоеИнформатикаИсторияКультураЛитератураЛогикаМатематикаМедицинаМеталлургияМеханикаОбразованиеОхрана трудаПедагогикаПолитикаПравоПсихологияРелигияРиторикаСоциологияСпортСтроительствоТехнологияТуризмФизикаФилософияФинансыХимияЧерчениеЭкологияЭкономикаЭлектроника






Подача лопастных компрессоров






Движение газа в рабочем колесе лопастного компрессора в соответствии с теорией Эйлера принимается также как в лопастных насосах (рисунок 9-7).

Окружные скорости на входе в межлопаточные каналы и выходе из

них

 

где D1 и D2 – входе и выходе, n – число оборотов в секунду.


 



Рисунок 9-7

Обозначение скоростей и углов те же, что было принято для
насосов.

Формы лопаток принимаются исходя из условия 2=20¸ 50°.

Объемная подача рабочего колеса задается для нормальных
условий -

где М - массовая подача (кг/с), R - газовая постоянная (Дж/кг К),
Т=273К, ро=10× 105Па.

По размерам рабочего колеса подача равна:

где b1 и b2 - ширина лопаток (каналов),

k1 и k2 - коэффициент, учитывающий толщину лопаток,

Fl и F2 -площади сечения каналов,

и - коэффициенты заполнения каналов активным потоком.

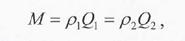
Из условия уравнения неразрывности массовых расход через каналы составит



 


где р1 и р2 - плотность газа.


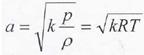
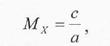
При работе лопастных компрессоров важным фактором является предел скорости движения газа, который характеризуется критерием Маха. Критерий Маха


 


где а - скорость звука в газе, для идеального газа


, - показатель адиабаты.


 

При Мх < 1 газ ведет себя в соответствии с теми законами, что и несжимаемая жидкость. При Мх > 1 появляются скачки уплотнители, отрыв потока от стенок канала, эти явления сопровождаются большими потерями энергии.

Существуют ограничения скоростей вращения рабочих колес: окружная скорость на выходе не должна превышать 300-500 м/с. При этом современные лопастные компрессоры имеют число оборотов до 1600 об/мин.

Наиболее опасным сечением является входное сечение на лопатке рабочего колеса, здесь относительная скорость достигает своего максимума, т.к. дальше по течению газ сжимается, его температура увеличивается, а следовательно, растет и скорость звука.

Подача компрессора принимает предельное значение, когда максимальная относительная скорость становится равной скорости звука:

а именно

 

.


 


Поделиться с друзьями:

mylektsii.su - Мои Лекции - 2015-2026 год. (2.018 сек.)Все материалы представленные на сайте исключительно с целью ознакомления читателями и не преследуют коммерческих целей или нарушение авторских прав Пожаловаться на материал