Студопедия

Главная страница Случайная страница

КАТЕГОРИИ:

АвтомобилиАстрономияБиологияГеографияДом и садДругие языкиДругоеИнформатикаИсторияКультураЛитератураЛогикаМатематикаМедицинаМеталлургияМеханикаОбразованиеОхрана трудаПедагогикаПолитикаПравоПсихологияРелигияРиторикаСоциологияСпортСтроительствоТехнологияТуризмФизикаФилософияФинансыХимияЧерчениеЭкологияЭкономикаЭлектроника






Мощность и КПД лопастных насосов






Политропическая работа поршня за один цикл поршневого компрессора был получен в следующем виде:


(А)


Политропическая мощность:

(В)


где и - давление и объем при условиях всасывания.

В лопастных компрессорах происходит тот же процесс не циклически, а непрерывно (сжатие и вытеснение одновременно), поэтому выражение А и В справедливо и для лопастных компрессоров.

Индикаторная мощность (внутренняя) одной ступени равна:

,

где МT - теоретическая массовая подача компрессора (кг/с). Удельная работа ступени равна:

,


 


 


поэтому - политропическая мощность одной

ступени.


- потери мощности на утечки газа через неплотности, газодинамические сопротивления внутри каналов рабочего колеса и дисковые трения наружных поверхностей дисков колеса. Следовательно,

Подводимая мощность на вал компрессора превышает индикаторную мощность на величину потерь мощности на механические трение в подшипниках и уплотнениях вала:



 


Т.о. общий баланс мощности следующий:

Каждый вид потерь мощности оценивается соответствую щи КПД: потери мощности на утечки - , потери мощности гидравлического сопротивления - , потери мощности дисковое трение - , потер мощности на механическое трение - .

Ввиду сложности определения каждого вида потерь отдельно обычно пользуются политропическим КПД:


 


 


Механический КПД:


 


 


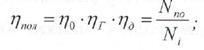
Полный КПД лопастного компрессора

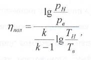
При испытаниях компрессора политропический КПД определяй: по формуле:

где и - температура и давление газа на выходе v

компрессора и на входе в него;

- показатель адиабаты.


В лопастных компрессорах без охлаждения внутренний КПД


 


рекомендуется подсчитывать как адиабатический

а для


охлаждаемых машин - изотермический КПД .

Современные осевые компрессоры имеют КПД выше, чем центробежные, а именно: КПД осевых дозвуковых компрессоров 0, 83¸ 0, 93, для центробежных компрессоров стационарного типа 0, 75¸ 0, 86.


Поделиться с друзьями:

mylektsii.su - Мои Лекции - 2015-2026 год. (0.929 сек.)Все материалы представленные на сайте исключительно с целью ознакомления читателями и не преследуют коммерческих целей или нарушение авторских прав Пожаловаться на материал