Студопедия

Главная страница Случайная страница

КАТЕГОРИИ:

АвтомобилиАстрономияБиологияГеографияДом и садДругие языкиДругоеИнформатикаИсторияКультураЛитератураЛогикаМатематикаМедицинаМеталлургияМеханикаОбразованиеОхрана трудаПедагогикаПолитикаПравоПсихологияРелигияРиторикаСоциологияСпортСтроительствоТехнологияТуризмФизикаФилософияФинансыХимияЧерчениеЭкологияЭкономикаЭлектроника






Многоступенчатое сжатие






Одноступенчатый компрессор может сжимать давления 5-7 атм.

Сущность применения многоступенчатого сжатия состоит в том, что
в каждой ступени газ сжимают до небольшой величины, затем
охлаждают и подают на следующий ступень.

Причины, заставляющие делать многоступенчатые компрессоры

следующие:


1. Выигрыш в затрате энергии на сжатие;

2. Ограничение температуры конца сжатия;

3. Более высший коэффициент подачи;

4.

 
 

Рассмотрим индикаторную диаграмму двухступенчатого сжатия с полным промежуточным охлаждением, предполагая, что процесс сжатия происходит по адиабате (рисунок 9.4)

Рисунок 9.4

где р - давление после первой ступени (перед второй ступенью)

Суммарная работа в двух ступенях будет:



 


 

 

Т.к. промежуточное охлаждение полное, т.е. t = t1, то Vp = Vвpв


тогда

 


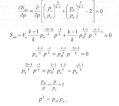
Чтобы определить при каком значении р адиабатическое работа будет наименьшей, возьмем первую производную Saд no p и приравняем нулю:

 


Это есть условия наивыгоднейшего p.

Таким образом, степени сжатия в двухступенчатом компрессоре должны быть одинаковыми.



 


Для z ступеней:

Увеличение числа ступеней ведет к приближению процессов сжатия к изотермическому сжатию (при котором работа на сжатие газа минимальная). Однако большое число ступеней приводит к усложнению конструкции компрессора, увеличению потерь в клапанах и системах охлаждения (холодильниках) между ступенями. Вопрос выбора оптимального числа ступеней сжатия в компрессоре решается не только по затраченной энергии, но и с учетом затрат на изготовление компрессора, регулярности его работы и амортизационному сроку службы.

В практике компрессоростроения встречаются различны соотношения между числом ступеней и конечным давлением. Эти соотношения представлен в таблице 9-1.

Таблица 9-1

 

Число ступеней              
Давления нагнетания, МПа   до 0, 7   0, 5¸ 3, 0   1, 3¸ 15, 0   3, 5¸ 40   15¸ 100   20¸ 100   45¸ 110

 


Поделиться с друзьями:

mylektsii.su - Мои Лекции - 2015-2026 год. (1.542 сек.)Все материалы представленные на сайте исключительно с целью ознакомления читателями и не преследуют коммерческих целей или нарушение авторских прав Пожаловаться на материал