Студопедия

Главная страница Случайная страница

КАТЕГОРИИ:

АвтомобилиАстрономияБиологияГеографияДом и садДругие языкиДругоеИнформатикаИсторияКультураЛитератураЛогикаМатематикаМедицинаМеталлургияМеханикаОбразованиеОхрана трудаПедагогикаПолитикаПравоПсихологияРелигияРиторикаСоциологияСпортСтроительствоТехнологияТуризмФизикаФилософияФинансыХимияЧерчениеЭкологияЭкономикаЭлектроника






Работа, совершаемая поршнем за один цикл.






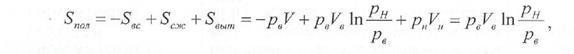
Работа, совершаемая поршнем равна площади индикаторной диаграммы. Эта площадь равна Sobcd + Sbtec - Saeto.

Работа, совершаемая поршнем S = Sвc + Scж – Sвыт, Sвыт=pHVНl -
площадь abcd - работа на вытеснение, Sec = -peV - площадь aeto - работа на
всасывание (рисунок 9-1).

Рисунок 9-1

Найдем работу на изотермическое сжатие. Изотермическое сжатие:



 


Таким образом, полная работа при изотермическом сжатии



 

 

Чтобы осуществить изотермическое сжатие, надо отвести все тепло,
выделяемое в процессе сжатия. В компрессоре циклы работы повторяются
с большой частотой, поэтому полный отвод тепла осуществить невозможно,
частичный же отвод тепла происходит за счет охлаждения стенок
цилиндра. В этом случае в процессе сжатия происходит изменение
температуры газа, линия сжатия поднимается еc' поднимается круче, чем
линия изотермы еc, и представляет собой политропу с показателем п > 1.
Эта политропа описывается уравнением

.

Площадь диаграммы ес 'da соответствует работе политропического цикла компрессора.

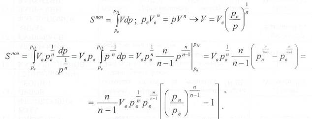
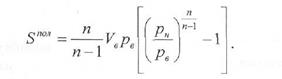
Определим работу поршня за один цикл при политропическом сжатии газа:



 



 


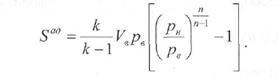
Для адиабатического процесса по аналогии имеем:

Действительная индикаторная диаграмма (которая выражает действительную работу) значительно отличается от теоретической, рассмотренной выше.

Когда заканчивается процесс вытеснения, не весь объем выталкивается из рабочей камеры, часть газа остается в выемках каналов и зазоре между поршнями и верхней крышкой цилиндра. Этот объем называется вредным пространством. Объем газа в рабочей камере складывается из объема действительно подаваемого после сжатия и объема газа во вредном пространстве


Работа, затраченная на сжатие газа в рабочей камере:

Обычно с некоторым приближением принимают (рисунок 9-2а, 9-26):

Рисунок 9-2 - Теоретическая диаграмма с вредным пространством


 


Рисунок 9-3 - Действительная диаграмма с вредным пространством:

и - потери давления……….


Поделиться с друзьями:

mylektsii.su - Мои Лекции - 2015-2026 год. (2.039 сек.)Все материалы представленные на сайте исключительно с целью ознакомления читателями и не преследуют коммерческих целей или нарушение авторских прав Пожаловаться на материал