Студопедия

Главная страница Случайная страница

КАТЕГОРИИ:

АвтомобилиАстрономияБиологияГеографияДом и садДругие языкиДругоеИнформатикаИсторияКультураЛитератураЛогикаМатематикаМедицинаМеталлургияМеханикаОбразованиеОхрана трудаПедагогикаПолитикаПравоПсихологияРелигияРиторикаСоциологияСпортСтроительствоТехнологияТуризмФизикаФилософияФинансыХимияЧерчениеЭкологияЭкономикаЭлектроника






Мощность и к.п.д. турбин турбобура






Баланс энергии в турбобуре можно представить графически (рисунок 8-16) и тогда очевидно, что вся гидравлическая мощность потока, входящего в турбины, расходуется на создание эффективной (полезной) мощности на валу турбин, которая непосредственно используется исполнительной машиной (например, долотом при бурении скважин), и на потери мощности, связанные с гидравлическими сопротивлениями при движении потока через лопастные системы статора и ротора, механические потери на трение контактирующих деталей (опор, уплотнений, дискового трения) а также затраты энергии за счет внутренних перетоков в зазорах между статором и ротором (рисунок 8-18)

Баланс мощности следующий


Мощность потока жидкости составляет - подача насоса, м3/с.

: Рисунок 8-18

 

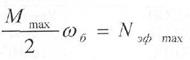
Эффективная мощность на валу турбин зависит от нагрузки и составляет:

где М-момент на валу, нм;

n- число оборотов, I/с.

Анализируя эффективную мощность в зависимости от нагрузки и

числа оборотов вала, получаем: при п=0 эффективная мощность Nэф =0; при отсутствии нагрузки на валу М=0, число оборотов птах, а мощность Nэф=0.

Для определения максимума эффективной мощности представим
эффективную мощность в следующем виде:


Полученному значению соответствует максимальная мощность.

Графическая зависимость (рисунок8-19) представляет собой параболу, у которой максимум сдвинут от начала координат на расстояние по оси абсцисс. Для большинства турбин турбобуров = .

Рисунок 8-19

 

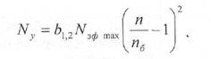
Рассмотрим потери мощности в турбинах. Их можно разделить на две части: 1) потери, связанные с различными гидравлическими явлениями, т.е. это потери на гидравлические сопротивления, утечки, дисковое трение, которое можно определить при безударном режиме. Они сохраняются при всех режимах работы турбин, но легче выявляются при безударном режиме и оцениваются в долях от максимальной эффективной мощности (примерно 0, 2¸ 0, 4 Nэф max);

2) потери, связанные с отклонением режима работы турбин от безударного, когда создается несоответствие углов профиля лопаток и углов, определяющих течение тока.

Эти потери называются потерями на удар.

На основе опытных данных их можно определить по формуле:

b 1, 2 - коэффициент потерь, который имеет различное значение при
отклонении окружных скоростей от безударного режима:

U, U6- окружные скорости при любых режимах работы и при
безударном режиме.

Выполним некоторые преобразования в формуле потери
мощности на удар:



 


 



Тогда


 


формула


мощности на удар принимает вид:

Графическое представление о балансе мощности для турбин дает
рисунок 8-20.

Рисунок 8-20

Следует иметь в виду, что вид кривых будет зависеть от коэффициентов решетки.

 


Коэффициент полезного действия турбин - это отношение
эффективной мощности на валу к гидравлической мощности, подводимой с
потоком к турбине:

В кривых кпд также будет зависеть от коэффициентов решетки профилей и графически представлять параболическую зависимость от числа оборотов (рисунок 8-21).


Поделиться с друзьями:

mylektsii.su - Мои Лекции - 2015-2026 год. (1.532 сек.)Все материалы представленные на сайте исключительно с целью ознакомления читателями и не преследуют коммерческих целей или нарушение авторских прав Пожаловаться на материал