Студопедия

Главная страница Случайная страница

КАТЕГОРИИ:

АвтомобилиАстрономияБиологияГеографияДом и садДругие языкиДругоеИнформатикаИсторияКультураЛитератураЛогикаМатематикаМедицинаМеталлургияМеханикаОбразованиеОхрана трудаПедагогикаПолитикаПравоПсихологияРелигияРиторикаСоциологияСпортСтроительствоТехнологияТуризмФизикаФилософияФинансыХимияЧерчениеЭкологияЭкономикаЭлектроника






Гидротурбины






8.1 Основные показатели гидротурбин

Гидравлические турбины в качестве гидродвигателей нашли широкое использование как стационарные машины на гидроэлектростанциях, а также как передвижные - в турбобурах, применяемых при бурении скважин для добычи нефти и газа. Конкретные условия эксплуатации гидравлических турбин определяют большое разнообразие их конструкций.

Гидротурбина, являясь гидродвигателем, характеризуется такими показателями работы как крутящий момент на валу М, угловая скорость вращения вала , эффективная мощность Nэф и коэффициент полезного действия .

Размерности этих параметров следующие:

п- частота вращения в секунду (число оборотов вала в единицу
времени).


Произведение крутящего момента на угловую скорость вала называется эффективной мощностью - мощность, которая может быть использована исполнительной машиной (например, долотом).


 



 


 


Мощность потока жидкости, обеспечивающего действие

гидротурбины, представляет собой гидравлическую мощность:

где Q - объемный расход жидкости в турбобуре, соответствующий подаче насоса; р- перепад давления, т.е. разность давлений на входе в гидротурбину и на выходе из нее.

Коэффициент полезного действия турбины - это отношение эффективной мощности к гидравлической

Необходимость соединения производного двигателя большой мощности с исполнительными машинами (насосами, лебедками и др.), выполняющими технологические процессы с колеблющимися нагрузками, потребовала создания трансмиссий, которые воспринимают такие нагрузки, позволяют работать при переменной скорости выходного звена и облегчают автоматизацию процесса передачи энергии. Такими трансмиссиями являются гидропередачи (турбопередачи), которые включают лопастные колеса насоса и турбины.

В технической литературе одинаково используется термин
гидропередачи и турбопередачи, гидромуфты и турбомуфты,

гидротрансформаторы и турботрансформаторы. В тексте используется термин «турбо».

 

8.2 Устройство и классификация турбин

Гидравлической турбиной называется гидравлический двигатель, служащий для преобразования энергии потока жидкости в механическую энергию вращения вала турбины.

Гидравлическая турбина состоит из двух основных частей: неподвижного направляющего аппарата - статора, придающего потоку жидкости вполне определенное направление, и вращающегося рабочего колеса - ротора, имеющего лопасти, воздействуя на которые поток жидкости передает свою энергию, приводя ротор во вращение.

Помимо этих частей турбина имеет регулирующее устройство, чтобы поддерживать определенный режим работы турбины, отсасывающую трубу для отвода жидкости из турбины.

Представим принципиальную схему турбины (рисунок 8-1), она имеет основные части: вращающий ротор с лопатками 1, неподвижный лопаточный статор 2, отсасывающую трубу 3 и вал 4.



Рисунок 8-1

 

Рассмотрим некоторые принципы классификации гидравлических турбин:

1. По направлению движения жидкости в роторе турбины бывают:
а) радиальные

Рисунок 8-2

На рисунке 8-2 представлена схема гидравлической турбины с внешним подводом жидкости: (центростремительная) турбина Френсиса. Она состоит из статора 1, ротора 2, вала 3 и подводящего канала 4.


 

 

Рисунок 8-3

 

 

На рисунке 8-3 изображена гидравлическая турбина с внутренним подводом жидкости - центробежная турбина Сафонова. Она имеет статор 1, ротор 2, вал 3 и подводящий канал 4.

: б) радиально-осевые и в) осевые:

Рисунок 8-4 Рисунок 8-5

 

Эти турбины представлены на рисунке 8-4 и 8-5, они имеют статор
1, ротор 2 и вал 3.

Радиально-осевые турбины обеспечивают изменение направления
потока в роторе турбины с радиального на осевое. В осевых турбинах ротор
имеет лопасти, направляющие поток параллельно оси вала.
г) тангенциальные

 

Рисунок 8-6

 

Тангенциальная турбина Пелтона (рисунок 8-6) имеет ротор с ковшами 1, сопло 2, представляющие направляющие аппарат, вал 3, с которого снимается мощность.

2. По положению в жидкости турбины делят на погружные и непогружные. Все турбины работают, погруженные в жидкость, за исключением тангенциальных.

3. По характеру преобразования энергии турбины бывают активные
и реактивные.

Активной турбиной называется турбина, в которой при постоянном
давлении (атмосферном) происходит преобразование кинетической
энергии в механическую вращения ротора.

Если составить уравнения удельной энергии при входе и выходе потока жидкости из рабочего колеса (ротора), то получим:

на входе:

на выходе:

Напор, срабатываемый в турбине составит: Н=Н1-Н2. Следовательно, гидравлическая энергия, преобразуемая в турбине в механическую, состоит из удельной потенциальной энергии:

и кинетической:

Для активной турбины (р = const) удельная потенциальная энергия равна нулю, т.е. срабатываемый напор представляет удельную кинетическую энергию:

Н=НДИН

Реактивные двигатели - это турбины, в которых давление на входе р1 больше давления на выходе р2, т.е. уменьшение давления вызывает ускорение движения потока, что приведет к появлению реактивного воздействия потока на лопасти, приводя во вращение вал турбины.

4. По числу ступеней гидравлические турбины бывают:
одноступенчатые (одна ступень состоит из ротора и статора) и
многоступенчатая, рабочая жидкость движется последовательно через ряд
ступеней.

 

8.3 Турбина турбобура

Турбобур - гидравлический двигатель, который предназначен для привода в действие долота, разрушающего породу на забое скважин.

Технологические условия бурения определяют требования,
предъявляемые к турбобуру:

1. Ограниченные радиальные размеры турбин. Турбобур размещается в скважинах диаметром 100¸ 200мм.

2. Большие крутящие моменты. Для разрушения пород требуется
200-400 кгМ.

3. Ограниченное число оборотов турбины. Долото эффективно работает при числах оборотов не более 500-700 в мин.

4. Возможность работы при подаче абразивной жидкости. К турбобуру подается буровой раствор.

5. Работа турбин происходит при переменных нагрузках.

Наиболее распространенная схема турбобура – это многоступенчатая осевая турбина (до 350 ступеней).

Рассмотрим одну ступень турбобура (рисунок 8-7):

 

Рисунок 8-7

 

Одна ступень турбобура (рисунок 8-7) состоит из двух лопаточных
систем - статора (неподвижная часть) и ротора, вращающегося вместе с
валом. Основные размеры ступени D - средний диаметр турбины, - длина
лопатки по радиусу.

Так как турбины турбобуров осевые, то если рассечь ступень
цилиндрической поверхностью радиусом относительно оси турбины
по лопаткам и развернуть сечение на плоскость, то получается плоская
прямая решетка профилей, как показана на рисунке 8-8.

 

Рисунок 8-8

 

Решетка состоит из z - профилей по числу лопаток. Каждый профиль имеет среднюю линию, происходящую через центры вписанных в профиль окружностей и хорду , соединяющую крайние точки профиля по вогнутой стороне.

Линия, соединяющая одинаковые точки профилей на входе и выходе потока, называется фронтом решетки (ось решетки). Расстояние по фронту между соответствующими точками соседних профилей называется шагом решетки (z - число профилей, - радиус по фронту - радиус развернутой цилиндрической поверхности). Расстояние по нормали между фронтами (осевая высота профиля) носит название «ширина решетки S». Если обозначить элементы статора индексом «С», а ротора - «Р», то ширина профилей ступени турбины турбобура равна:

 

где - осевой зазор после статора «С» и ротора «Р».

Углы профиля - это углы между касательными к средней линии и фронтом решетки; они обозначаются , для ротора и

, - для статора.

 

8.4 Движение жидкости в каналах турбин

Так как в турбины турбобура жидкость поступает от бурового
поршневого насоса, то за счет неравномерности работы насоса и
переменного сечения каналов турбины распределение скоростей в потоке
жидкости носит сложный характер.

Представим себе, что на среднем диаметре D имеется струйка потока, скорости которой осреднены во времени и пространстве, струйка обтекает лопатки турбины без удара, тогда углы потока будут соответствовать: = , = и т.д.

Из параллелограммов скоростей (рисунок 8-8), построенных на решетках профилей статора и ротора, видим, что поток, входящий в статор, увеличивает свою скорость от Со до С1 при входе в ротор.

В роторе поток оказывает воздействие на лопатки и приобретает относительное движение со скоростью

где U - окружная скорость, зависящая от характера обтекания лопаток ротора.

На выходе абсолютная скорость потока равно:

 

Если направление потока совпадает с направлением средней линии профиля ротора, то движение носит безударный характер - режим безударный ; при отклонении от этого направления происходит удар, возникают завихрения потока (рисунок 8-9).

Рисунок 8-8

Скорость вращения ротора зависит от количества прокачиваемой жидкости и живого сечения каналов.

Определяющей скоростью движения жидкости в каналах турбин турбобура является осевая составляющая абсолютной скорости - осевая

скорость .

На рисунке 8-10 представлен вид турбины, из которого видно, что (без учета толщины лопаток). D и - средний диаметр и радиальная ширина каналов.

Рисунок 8-10

 

 

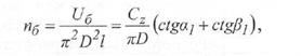
8.5 Число оборотов ротора турбины

Параллелограмм скоростей на входе и выходе из ротора имеют общие скорости U и Cz.

Совмещенные треугольники скоростей называются полигоном скоростей. Для безударного режима полигон имеет вид, показанный на рисунке 8-11.

Рисунок 8-11

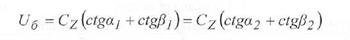
Из полигона видно, что окружная скорость равна:

U6 зависит от формы лопаток. Выразим окружную скорость через число оборотов:

Следовательно, число оборотов ротора турбины равно

или учитывая, что число оборотов турбины при безударном режиме составит:

т.е. число оборотов турбины зависит от количества перекачиваемой жидкости через турбину в единицу времени , от ее размеров D, и от конструктивных углов , ,


Поделиться с друзьями:

mylektsii.su - Мои Лекции - 2015-2026 год. (2.341 сек.)Все материалы представленные на сайте исключительно с целью ознакомления читателями и не преследуют коммерческих целей или нарушение авторских прав Пожаловаться на материал