Студопедия

Главная страница Случайная страница

КАТЕГОРИИ:

АвтомобилиАстрономияБиологияГеографияДом и садДругие языкиДругоеИнформатикаИсторияКультураЛитератураЛогикаМатематикаМедицинаМеталлургияМеханикаОбразованиеОхрана трудаПедагогикаПолитикаПравоПсихологияРелигияРиторикаСоциологияСпортСтроительствоТехнологияТуризмФизикаФилософияФинансыХимияЧерчениеЭкологияЭкономикаЭлектроника






Определение вращающего момента турбины






При движении потока жидкости через каналы переменного сечения происходит изменение момента количества движения относительно некоторой оси, что связано с действием внешних сил на поток:

По струйной теории Эйлера момент на лопатках гидромашины равен

Для осевой турбины поэтому

 

где и - проекции скорости на окружную.

 

Установим связь между моментом и числом оборотов турбины,

воспользовавшись полигоном скоростей (рисунок 8-12):

 

 

Рисунок 8-12

 

 

 

Тогда вращающий момент равен:

Если турбина не нагружена, т.е. ее вал вращается вхолостую, то окружная скорость , а момент равен нулю:



 


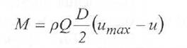
Таким образом, вращающий момент равен:



 


или, выражая окружную скорость через число оборотов, имеем:

 

,


т.к. при n=0 М = Мтах, то

Графическая зависимость вращающего момента от числа оборотов
показана на рисунке 8-13

Рисунок 8-13


Поделиться с друзьями:

mylektsii.su - Мои Лекции - 2015-2026 год. (2.034 сек.)Все материалы представленные на сайте исключительно с целью ознакомления читателями и не преследуют коммерческих целей или нарушение авторских прав Пожаловаться на материал