Студопедия

Главная страница Случайная страница

КАТЕГОРИИ:

АвтомобилиАстрономияБиологияГеографияДом и садДругие языкиДругоеИнформатикаИсторияКультураЛитератураЛогикаМатематикаМедицинаМеталлургияМеханикаОбразованиеОхрана трудаПедагогикаПолитикаПравоПсихологияРелигияРиторикаСоциологияСпортСтроительствоТехнологияТуризмФизикаФилософияФинансыХимияЧерчениеЭкологияЭкономикаЭлектроника






Коэффициенты турбинных решеток






Конструкции решеток определяются формой и углами установки

профилей, их относительным шагом и зазором- между статором и

ротором.

Каждой решетке соответствует своя форма полигона скоростей, а серии решеток- семейство подобных полигонов.

Каждая форма решетки будет обеспечивать определенные параметры работы турбины.

Варьируя углами наклона абсолютных и относительных скоростей при безударном режиме можно изменять как угодно форму полигона. Чаще изменяют не углы, а отношения строя полигона:

Эти отношения называются кинематическими коэффициентами
решеток.

Так, отношение осевой скорости к окружной при безударном режиме называется коэффициентом расхода. Действительно, подставляя значения этих скоростей, получим:

т.е. коэффициент расхода зависит от количества жидкости, протекающей через турбину в единицу времени, от ее размеров и числа оборотов.

С другой стороны, коэффициент расхода связан с конструктивными углами лопаток, его обратная величина

 

Рисунок 8-14

 

На рисунке 8-14 видно, что рост коэффициента расхода сопровождается увеличением углов наклона профилей и наклона

Средне квадратных скоростей и

Для турбин турбобуров коэффициент расхода принимается равным 0, 7¸ 1, 3.

По коэффициенту расхода все решетки делят на:

< 1 - малолитражные или высокоскоростные;

> 1 - многолитражные или низкоскоростные.

 

Рассмотрим отношение , обозначив его - коэффициент

циркуляции.

Коэффициент циркуляции представляет собой отношение нижнего основания полигона к верхнему (рисунок 8-15).

Рисунок 8-15

а окружная скорость , токоэффициент циркуляции

Мощность, снимаемая с вала турбины равна N = М , поэтому коэффициент циркуляции как бы дает характеристику мощности турбины при безударном режиме, а именно: если коэффициент циркуляции высокий, то мощность создается главным образом за счет момента М, а если низкий, то мощность создается за счет больших скоростей вращения .

В зависимости от величины коэффициента циркуляции турбины
бывают: нормальные , высокоциркулятивные > 1и
низкоциркулятивные < 1. В турбобурах применяются главным образом
нормальные турбины.

Коэффициент циркуляции также можно выразить через конструктивные углы

Коэффициенты активности и реактивности - это отношение проекций средневекторных абсолютной и относительной скорости к окружной скорости вращения турбины при безударном режиме:

Эти коэффициенты характеризуют разнообразие потока в статоре и роторе.

Величину можно найти по заданным углам профиля:

Принято называть решетки турбин при > 0.5 активными, а при < 0.5 - реактивными.

Если = 1, то это чисто активная турбина, а при = 0 - чисто реактивная.

Предположим, что турбина имеет = 0.5.


Ее полигон скоростей симметричный и профили лопаток статора являются зеркальным отображением профиля лопаток ротора:


 


Следовательно, С1 = W2, С2 – W1.

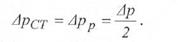
Это означает, что жидкость движется в статоре и роторе с равными скоростями и, следовательно, износ лопаток одинаков и перепад давления в статоре равен перепаду давления в роторе:

р - перепад давления в ступени турбины.

При > 0.5 - турбина активная. С увеличением коэффициента активности гидромеханические нагрузки (скорости и перепады давления) в статоре увеличиваются. При =1 весь перепад давления срабатывается в статоре р = рСТ (перепад давления в роторе активной турбины отсутствует р = const).

В реактивных турбинах гидромеханическая нагрузка больше в роторе. Т.к. осевая сила за счет гидромеханической нагрузки в турбинах направлена в противоположную сторону действия осевых нагрузок при бурении скважин, то это создает более благоприятные условия работы опорной пяты турбобура.

Чисто реактивные турбины = 0 не имеют практического применения.

С увеличением коэффициента активности возрастает и коэффициент циркуляции (увеличивается основание полигона), лопатки статора становятся более пологими, а у ротора более изогнутыми.В турбобурах применяются преимущественно турбины нормальной циркуляции ( = 7), симметричные ( =0.5).


Поделиться с друзьями:

mylektsii.su - Мои Лекции - 2015-2026 год. (1.761 сек.)Все материалы представленные на сайте исключительно с целью ознакомления читателями и не преследуют коммерческих целей или нарушение авторских прав Пожаловаться на материал