Студопедия

Главная страница Случайная страница

КАТЕГОРИИ:

АвтомобилиАстрономияБиологияГеографияДом и садДругие языкиДругоеИнформатикаИсторияКультураЛитератураЛогикаМатематикаМедицинаМеталлургияМеханикаОбразованиеОхрана трудаПедагогикаПолитикаПравоПсихологияРелигияРиторикаСоциологияСпортСтроительствоТехнологияТуризмФизикаФилософияФинансыХимияЧерчениеЭкологияЭкономикаЭлектроника






Подобие гидравлических турбин






Для обобщения и анализа исследований индивидуальных характеристик (рисунок 8-23) модельных образцов турбин турбобуров заданных размеров (DM, M и т.д.), испытанных в определенных условиях, т.е. при определенном расходе жидкости QM и ее физических свойствах,

при создании новых турбин пользуются общей теорией подобия, которая предполагает:

1) геометрическое подобие - пропорциональность линейных размеров, шероховатостей модели и натуры и равенство сходственных углов входных и выходных элементов лопаток;

2) кинематическое подобие, т.е. подобие полей скоростей (полигонов) в сходственных точках модели и натуры;

3) динамическое подобие, т.е. пропорциональность сил, действующих на сходственные элементы модели и натуры.

Первое условие обеспечивается одинаковым масштабом линейного

моделирования и равенством конструктивных углов:

Кинематическое подобие предусматривает соотношения скоростей:

Поскольку основными силами, действующими в потоке жидкости, являются силы вязкости и инерции, поэтому условие динамического подобия соответствует равенству чисел Рейнольдса: Re Н = Re M.

В большинстве случаев турбины работают в условиях автомодельности, когда определяющим фактором является не число Re, а шероховатость, т.е. для подобия достаточно двух первых условиях.

Чтобы определить показатели работы турбин данной серии (Ке = const) при различных расходах и физических свойствах жидкости,

необходимо составить следующие соотношения.

Так, числа оборотов вращения вала двух турбин одной серии
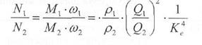
равны:

 

 

Зная, что осевая скорость С z турбины равна Cz = получим:

 




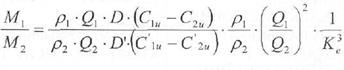
вращающие моменты:

мощности турбины:



 


перепад давления в турбинах:

Если турбины турбобура работают на одной и той же жид (р = const), топри изменении подачи насоса на основании общих формул подобия можно определить все показатели работы:

При испытаниях турбин моделирование не применяются, о, при пересчете характеристик односерийных турбобуров различных диаметров формулы подобия необходимы.



Поделиться с друзьями:

mylektsii.su - Мои Лекции - 2015-2026 год. (4.953 сек.)Все материалы представленные на сайте исключительно с целью ознакомления читателями и не преследуют коммерческих целей или нарушение авторских прав Пожаловаться на материал