Студопедия

Главная страница Случайная страница

КАТЕГОРИИ:

АвтомобилиАстрономияБиологияГеографияДом и садДругие языкиДругоеИнформатикаИсторияКультураЛитератураЛогикаМатематикаМедицинаМеталлургияМеханикаОбразованиеОхрана трудаПедагогикаПолитикаПравоПсихологияРелигияРиторикаСоциологияСпортСтроительствоТехнологияТуризмФизикаФилософияФинансыХимияЧерчениеЭкологияЭкономикаЭлектроника






Перепад давления в турбине турбобура






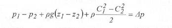
Турбобур состоит из п -ступеней реактивных турбин, в которых происходит изменение давления на pi. Если представить схему турбобура (рисунок 8-16) так, что приборы давления на входе и выходе

M1 и М2 будут находиться на одном уровне, то по уравнению Бернулли

получим:

или по показаниям манометров, пренебрегая скоростными напорами, получим:

Перепад давления в турбобуре зависит от нагрузки на валу турбин и изменяется в зависимости от числа оборотов и формы профилей решеток турбин.

Вид графической зависимости р-п представлен на рисунке 8-16.

Рисунок 8-16


Рисунок 8-17

При сопоставлении линий давления на рисунке 8-17 следует отметить, что у высокоциркулятивных турбин на холостом режиме (п® птах) перепад давления возрастает, а у низкоциркулятивных турбин

перепад давления растет со снижением числа оборотов (повышением нагрузки на валу). В обоих случаях буровой насос должен иметь запас мощности при отклонении режима работы от оптимального. Турбины нормальной циркуляции ( = 1) не требуют такого запаса.


Поделиться с друзьями:

mylektsii.su - Мои Лекции - 2015-2026 год. (0.917 сек.)Все материалы представленные на сайте исключительно с целью ознакомления читателями и не преследуют коммерческих целей или нарушение авторских прав Пожаловаться на материал