Студопедия

Главная страница Случайная страница

КАТЕГОРИИ:

АвтомобилиАстрономияБиологияГеографияДом и садДругие языкиДругоеИнформатикаИсторияКультураЛитератураЛогикаМатематикаМедицинаМеталлургияМеханикаОбразованиеОхрана трудаПедагогикаПолитикаПравоПсихологияРелигияРиторикаСоциологияСпортСтроительствоТехнологияТуризмФизикаФилософияФинансыХимияЧерчениеЭкологияЭкономикаЭлектроника






Определение экономической эффективности капитальных вложений






 

Экономический эффект – это результат осуществления инвестиций (капитальных вложений). Экономический эффект может выражаться в виде экономии от снижения себестоимости продукции, в приросте прибыли или национального дохода.

Экономическая эффективность– это экономический эффект, приходящийся на один рубль инвестиций (капитальных вложений), обеспечивших этот эффект.

Различают абсолютную (общую) и сравнительную (относительную) экономическую эффективность.

Абсолютная (общая) экономическая эффективность определяется как отношение экономического эффекта ко всей сумме капитальных вложений, вызвавших этот эффект.

Сравнительная экономическая эффективность определяется при выборе наилучшего варианта капитальных вложений. Если при равенстве капитальных вложений один из вариантов обеспечивает наибольшее снижение текущих издержек производства (себестоимости), то этот вариант будет наиболее выгодным. При равной себестоимости эффективным признается вариант, для осуществления которого требуются меньшие капитальные вложения.

Зачастую сравниваемые варианты отличаются не только суммами капитальных вложений, но и себестоимостью продукции, поэтому для выбора наиболее эффективного варианта приходится рассчитывать ряд показателей сравнительной экономической эффективности.

Показатели сравнительной экономической эффективности.

 

1. Приведенные затраты на единицу продукции (Зпрi) для i-го варианта капитальных вложений определяются так:

 

Зпрi = Сi + Ен*Кудi

где Сi – себестоимость единицы продукции при реализации i-го варианта капитальных вложений, руб.; Ен – нормативный коэффициент эффективности; Кудi – удельные капитальные вложения по i-му варианту, руб.

 

Кудi = Кудi / Ni

 

где Кi – капитальные вложения по i-му варианту, руб.; Ni – выпуска продукции по i-му варианту в натуральном выражении, шт.

 

В некоторых случаях рассчитывают приведенные затраты на годовой выпуск продукции

 

Зпрi = Сгодi + Ен*Кi, (7.4)

 

где Сгодi – себестоимость годового объема выпуска продукции по i-му варианту, руб.

 

Наиболее эффективным считается тот вариант, при котором обеспечивается минимальная величина приведенных затрат.

 

2. Условно-годовая экономия (Эуг) определяется так:

 

Эуг = (С1 - С2) N2,

 

где С1, С2 – себестоимость единицы продукции по базовому и внедряемому вариантам, руб.; N2– годовой выпуск продукции по внедряемому варианту, шт.

 

В некоторых случаях условно-годовую экономию определяют следующим образом:

 

Эуг = (П2 – П1) N2,

 

где П1, П2 – прибыль от реализации единицы продукции по базовому и внедряемому вариантам, руб.

 

3. Годовой экономический эффект (Эг) показывает общую экономию годовых затрат по сравниваемым вариантам с учетом величин капитальных вложений.

 

Эг = [(С1 + Ен Куд1) – (С2 + Ен Куд2)] N2 = (Зпр1 –Зпр2) N2

 

или

 

Эг = (С1 – С2) N2 – Ен (К2 –К1) = Эуг – Ен (К2 –К1) = Эуг–Ен DК,

 

где DК = К2 –К1– дополнительные капитальные вложения по сравнению с базовым вариантом.

 

Внедряемый вариант может быть признан эффективным, если выполняется условие Эг > =0.

 

Оценка эффективности осуществляется с использованием следующих показателей:

 

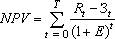
1. NPV (Net Present Value) – чистый дисконтированный доход (ЧДД)* определяемый как сумма текущих эффектов за весь расчетный период, приведенная к начальному году, или как превышение интегральных результатов над интегральными затратами.

 

(7.15)

 

где Rt – результаты (доход, выручка от реализации продукции) в t-м году; Зt – затраты, осуществляемые в t-м году.

 

Затраты Зt включают в себя инвестиции, произведенные в

 

t-м году (З1t) и текущие затраты З2t. В текущие затраты З2 t включают: затраты на сырье и материалы, топливо, электроэнергию, заработную плату с отчислениями на социальные нужды, амортизацию и другие расходы.

 

Таким образом,

 

Зt = З1t+ З2 t.

 

Если NPV < 0, то проект неэффективен. Чем NPV больше, тем эффективнее проект.

2. IR – индекс доходности (ИД)*

 

,

 

где К – дисконтированные инвестиции

Если IR < 1 – проект не эффективен. Если IR> = 1, то проект рентабелен.

 

3. IRR (Internal Rate of Return) – внутренняя норма доходности (ВНД)** представляет собой ту норму дисконта е, при которой величина NPV равна 0. Иными словами, IRR является решением уравнения

 

.

 

Рассчитанная величина нормы доходности сравнивается с требуемой инвестором величиной нормы доходности на капитал.

 

Если IRR равна или больше требуемой нормы доходности (IRR > = Е), то проект считается эффективным.

 

IRR – наиболее популярный показатель оценки инвестиционных проектов, так как он не зависит от ставки дисконта, выбираемой для расчетов, в известной степени, произвольно

 

4. Cрок окупаемости инвестиций (Payback Period PBP, Ток) – это срок, за который можно возвратить инвестированные в проект средства, т.е. это период времени начиная с которого первоначальные вложения и другие затраты, связанные с инвестиционным проектом, покрываются суммарными результатами от его осуществления.

Срок окупаемости рекомендуется определять с использованием дисконтирования.

 



Поделиться с друзьями:

mylektsii.su - Мои Лекции - 2015-2026 год. (0.561 сек.)Все материалы представленные на сайте исключительно с целью ознакомления читателями и не преследуют коммерческих целей или нарушение авторских прав Пожаловаться на материал